网站首页  词典首页


请输入您要查询的字词:

 

字词 焦耳定律
类别 中英文字词句释义及详细解析
释义 焦耳定律

1.焦耳定律的意义 对于阻值一定的导体,电流通过导体产生的热量与电流的平方成正比,与通电时间成正比,对于有相同电流通过的导体,电阻大的发热多.

2.焦耳定律的公式 Q=I2Rt,这是普遍适用的公式.

3.电功和电热的关系

(1)电功和电热都是电能和其他形式能的转化的量度,电功是电流通过一段电路电能转化为其他形式的通用的量度,电热则是电流通过导体时,电能转化为内能的量度.

(2)当电流通过纯电阻电路时,电功就等于电热(W=Q),即IUt=I2Rt,当电流通过非纯电阻电路时,电功大于电热.

例 一台电风扇的额定功率是60W,内电阻为2Ω,当它接在220V的电压下正常运转,求:

(1)电风扇正常运转时,通过它的电流强度多大?每秒钟有多少电能转化为机械能?

(2)若接上电源后,电风扇因故不能转动,这时通过它的电流强度多大?电风扇实际消耗的电功率多大,此时会发生什么问题?

分析 电风扇工作时,将有电能转化为机械能,属非纯电阻,欧姆定律不适用,电功和电热不相等.求解这一过程转化的其他形式能,通常由能量守恒定律W=Q+E来求.接通电源后,电风扇不转动,相当于纯电阻,可由欧姆定律求电流,此时电功和电热相等.

解 (1)电风扇正常运转,消耗的功率为额定功率P=UI,

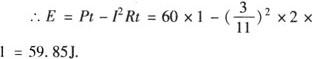
由能量守恒定律得:W=Q+E Pt=I2Rt+E,

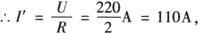
(2)电风扇不转动,相当于纯电阻,由欧姆定律得:U=I′R,

实际消耗的电功率24200W.

由于电风扇实际消耗的电功率远大于其额定功率,且电能全部转化为内能,电动机将被烧坏.

随便看

 

离鸟网收录3541549条中英文词条,其功能与新华字典、现代汉语词典、牛津高阶英汉词典等各类中英文词典类似,基本涵盖了全部常用中英文字词句的读音、释义及用法,是语言学习和写作的有利工具。

 

Copyright © 2004-2024 vtrois.com All Rights Reserved
更新时间:2026/4/19 9:13:44