网站首页  词典首页


请输入您要查询的字词:

 

字词 烯丙托啡
类别 中英文字词句释义及详细解析
释义 烯丙托啡

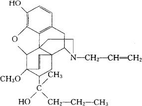
C27H35NO4=487.58

CAS-23758-80-7

17-烯丙基-17-脱甲基-7α-((1R)-1-羟基-1-甲丁基-6,14-亚乙烯桥四氢东罂粟碱。

17-Allyl-17-demethyl-7α-((R)-1-hydroxy-1-methylbutyl)-6,-14-endo-ethenotetrahydrooripavine.

4,5-环氧-3-羟基-6-甲氧基-α-甲基-17-(2-丙烯基)-α-丙基-6,14-亚乙烯基吗啡喃-7-甲醇。

4,5-Epoxy-3-hydroxy-6-methoxy-α-methyl-17-(2-propenyl)α-propyl-6,14-ethenomorphinan-7-methanol.

麻酸性镇痛药。

阿乃托啡。

Alletorphine,R&S 218-M,M-218,N-Allylnoretorphine.

INN,BAN,USAN.

随便看

 

离鸟网收录3541549条中英文词条,其功能与新华字典、现代汉语词典、牛津高阶英汉词典等各类中英文词典类似,基本涵盖了全部常用中英文字词句的读音、释义及用法,是语言学习和写作的有利工具。

 

Copyright © 2004-2024 vtrois.com All Rights Reserved
更新时间:2026/4/18 4:18:25