网站首页  词典首页


请输入您要查询的字词:

 

字词 热电导率
类别 中英文字词句释义及详细解析
释义 热电导率

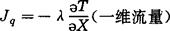
指热流量Jq与温度梯度成正比:

式中,比例常数λ定义为热电导率。

在国际会议上经常指出,电解质的热电导率在科学研究上和工程应用上的重要性。例如,研究盐溶液的致冷作用时,必须测定溶液的热电导率,在此基础上,才可选择合适的盐溶液作为致冷剂。

历年来,大量的研究者对许多电解质水溶液的热电导率进行了研究,并取得了卓有成效的成果。

1948~1951年,Riedel研究了强电解质水溶液的热导率,计算了稀的和中等浓度的溶液在20℃时的热电导率

λ溶液H2O+∑aici

λH2O是纯水的热导率,Ci是电解质i的摩尔浓度;ai是与离子性质有关的系数,其计算值与实验值相同。

1956年,Vargaftik和Os’minin提出了稀溶液的热电导率与温度关系的近似值为(λt/λ20℃)溶液=(λt/λ20℃)H2O,即20℃与t℃的稀溶液的热导率比近似等于纯水热电导率比。如80℃热电导率可由下式计算

其误差仅为-0.9%。

对大多数电解质溶液,热电导率随温度增加而增加,大约在130~140℃达到极限值。Vargaftik和Os’minin又提出了溶液的相对热电导率,即溶液的热电导率与纯水的热电导率的比值(λ溶液/λH2O)其表达式为:

式中分子量比率可由下式计算:

1956年,Kapusfinskii和Ruzavin提出表观摩尔热电导率(Φλ),其与溶液的热导率和纯水的热电导率的关系为:

λ)=[(1000+C2M2溶液-1000λH2O]/C2

表观摩尔热电导率与电解质浓度关系为式中A,B为实验常数,当为0时,可得到无限稀释时的表观摩尔热电导率,称为极限表观摩尔热电导率。正、负离子的表观极限摩热电导率具有加和性决定于每个离子的电子数,

1960年,在Purdue大学发表了第一版关于热物理性质的专著。1964年,Jamieson和Tudhope提出了海水的热电导率与海水的温度与盐度的关系:

式中,X=0.0002(盐度),Y=0.03(盐度),G=343.5+0.37(盐度),Tcr=647K(纯水临界温度),λH2ocr=240mΩ-1m-1K-1(水在临界点时热电导率)。

1965年Missenard提出下列无机化合物水溶液的相对热电导率(H2SO4,H3PO4,HNO3等);

式中λ溶液是电解质溶液的热电导率,λ液体是纯无机液体的摩尔热电导率,Wfr是无机化合物的重量分数。上式能有效地计算无机化合物水溶液的相对摩尔热电导率比值。

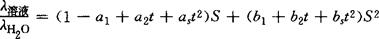
1975年,Yusufova用电子计算机计算了三参数方程,测定了NaCl和Na2SO4溶液在较大浓度和温度区间的热电导率,其表达式为:

对NaCl溶液:

式中,t是摄氏温度(℃),S=5855.3m2/(1000+58.443m2),m2是NaCl的重量摩尔浓度(mol·Kg-1),上式可适用温度为20~330℃,浓度为5~25wt%.

对Na2SO4溶液:

式中a1=4.6563×10-3,a2=-1.6119×10-5

a3=5.031×10-8,b1=4.26×10-5

b2=-8.55×10-7,b3=2.16×10-9

上式可适用的温度和百分浓度范围和Nacl溶液相同。标准误差不超过2%。

1977年8月在Othaw,Ontario,Canada举行的15届热电导率的国际会议上,将有关科学论文汇编成论文集发表。

1978年在Lantinit和Pacetly的会议上,发表了过去不十分注意的一些临界参数,经实验测得的大量电解质水溶液的热电导率发表在书和书评中。这样,研究者对电解质溶液的热电导率在理论上与实际应用上均取得了重要的进展。

1981年Abelson应用近代计算法所得的结果,综合汇编超过200册。

1982年,Chaney发表了第2版混合物和电解质溶液的热电导率的研究成果。由上可知,在80年代研究者在理论上与应用上研究热电导率已成为热点。

【参考文献】:

1 Missenard A. Conductivite thermique des solids, Liquides, Gas at Leurs M'elaneges. Paris :Eiditions Eyrolles,1965

2 Latoni G,Paceti M. Proceedings of the 15th International Conference Thermal Conductivity (V. V. Mirkovich, Ed), Plenum Press,New York,1978

3 Abelson P H. Proceedings of the 7th International CODA-TA Conference>. Kyoto, Japan, Pergamon Press, Oxford, 1981

4 Chaney. Thermophysical Properties Research Literature Retrieval Guide. New York, 1982

5 Horvath A L. Handbook of Aqueous Electrolyte Solution, 1985

(华东师范大学张挺芳教授、陆嘉星讲师撰)

随便看

 

离鸟网收录3541549条中英文词条,其功能与新华字典、现代汉语词典、牛津高阶英汉词典等各类中英文词典类似,基本涵盖了全部常用中英文字词句的读音、释义及用法,是语言学习和写作的有利工具。

 

Copyright © 2004-2024 vtrois.com All Rights Reserved
更新时间:2026/4/20 21:02:04