网站首页  词典首页


请输入您要查询的字词:

 

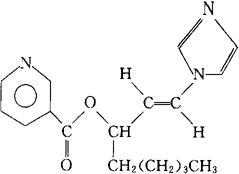
字词 烟格雷酯
类别 中英文字词句释义及详细解析
释义 烟格雷酯

C17H21N3O2=299.37

CAS-80614-21-7

(±)-(E)-3-咪唑-1-基-1-戊基烯丙基烟酸酯。

±±

(±)-(E)-3-Imidazol-1-yl-1-pentylallyl nicotinate.

1-[2-(1H-咪唑-1-基)乙烯基]己基3-吡啶羧酸酯。

1-[2-(1H-Imidazol-1-yl)ethenyl]hexyl 3-pyridinecarboxylate,

抗凝药,抗血栓形成药。

尼可来酯。

Nicogrelate,CBS-634.

INN,USAN.

随便看

 

离鸟网收录3541549条中英文词条,其功能与新华字典、现代汉语词典、牛津高阶英汉词典等各类中英文词典类似,基本涵盖了全部常用中英文字词句的读音、释义及用法,是语言学习和写作的有利工具。

 

Copyright © 2004-2024 vtrois.com All Rights Reserved
更新时间:2026/4/19 7:56:25