网站首页  词典首页


请输入您要查询的字词:

 

字词 烟囱的计算
类别 中英文字词句释义及详细解析
释义 烟囱的计算

1.烟气在烟道中的温度降

t1=Qyd/BjVyc(℃)

式中:t1——烟气在烟道中的温度降,℃,

Qyd——烟道总散热量,kJ/h;

Qyd=qyd×F

qyd——烟道单位面积的散热损失;

室内烟道可取qyd——4186.8kJ/m2

室外烟道可取qyd=5442.8kJ/m2

F——烟道散热面积,m2

BiVyo——烟气总比热容,kJ/(h、℃);

Bi——计算燃煤量,kg/h;

Vy——烟气流量,m3/kg;

C——烟气平均比热容,一般可取C=1.352~0.324kJ/(m3、℃)

2.烟气在烟囱中的温度降

t2=H⊿t2(℃)

式中:t2——烟气在烟囱中的温度降,℃;

H——烟囱高度,m;

⊿t2——烟气在烟囱中每米高度的温度降,℃/m。

按下式计算:

空气在标准状况之重度采用r01=1.293kg/m3

烟气在标准状况之重度采用r02=1.34kg/m3

烟囱每米高度产生的抽力可由表14—2—86查得(单位:mmH2O)。

表14-2-86

注:由上表查得的数值,乘以烟囱高度,得出烟囱的抽力,但实际上还应减去烟囱本身的阻力。

按照卫生标准,烟囱高度采用表14-2—87之值。

表14-2-87

❶ 为烟囱排出灰尘总数

用低灰分燃料(每4186kJ/kg中灰分少于5%)时,烟囱高度采用;

❶ 当燃料消耗为50~100t/h,用60m;

❷ 当燃料为100~200t/h,用80m。

在锅炉房200m半径内设置高于15m的邻近建筑物时,最小的烟囱高度取用45m。

6.烟囱出口直径(d1)

式中:Bi——每台锅炉计算燃料消耗量(冬季用量);

n——利用同一烟囱的锅炉台数;

Vy——计入漏风系数时烟囱出口烟气量,m3/s;

to——烟囱出口处烟气高度,℃;

wo——烟囱出口处烟气流速,m/s,按表14—2—88选择。

表14-2-88

考虑到积灰将缩小烟气流通截面这一因素,故由上式计算所得的数据,应适当加大,一般不超过100mm。

计算出口内径小于0.8m时,可设计成方形、矩形或圆形。大于0.8m者多为圆形。铁质烟囱多为圆形。

烟囱入口截面积不得小于出口截面积、且应考虑积灰、掏灰和通行的方便。

7.烟囱的平均直径(dpj)

式中:d1——烟囱出口直径,m;

d2——烟囱入口直径,m;

8.烟囱阻力计算

(1)烟囱摩擦阻力()计算:

式中:λ——烟囱摩擦阻力系数,砖或金属制烟囱的均为0.04;

dpi——烟囱平均直径,m;

H——烟囱高度,m;

Wpi——烟囱内烟气流速,m/s;

rpj——烟囱内烟气平均重度,kg/m3

g——重力加速度,m/s2

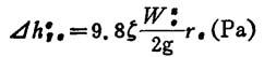
(2)烟囱出口阻力()计算:

式中:ξ——烟气出口阻力系数,取1.0;

Wo——烟囱出口处烟气流速,m/s;

ro——烟囱出口处烟气重度,kg/m3

g——重力加速度,m/s2

烟囱阻力按下式计算:

随便看

 

离鸟网收录3541549条中英文词条,其功能与新华字典、现代汉语词典、牛津高阶英汉词典等各类中英文词典类似,基本涵盖了全部常用中英文字词句的读音、释义及用法,是语言学习和写作的有利工具。

 

Copyright © 2004-2024 vtrois.com All Rights Reserved
更新时间:2026/4/18 6:45:32