灰色系统预测法
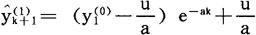
时间序列预测法之一。 系统可以按照其信息的明晰程度,分为信息完全清楚的白色系统,信息完全不清楚且无法掌握的黑色系统,以及部分信息清楚、另一部分信息不清楚的灰色系统。财政系统也属于由时间序列所反映的以往的财政状况为已知,而影响财政变化的诸不可控因素为未知的所谓灰原因、白结果的灰色系统,可以用灰色系统预测法来进行预测。当财政变化的规律性较强时,可以用数列预测模式来进行预测。 预测模式为:  式中,k表示时期数; 表示第1期的时间序列值; 表示k+1期时间序列的累积数;u,a为待定参数,可由时间序列值 ,及其各期的累积数 组成矩阵B和Y:  由以下公式计算而得: 
|