网站首页  词典首页


请输入您要查询的字词:

 

字词 火灾保险的理赔
类别 中英文字词句释义及详细解析
释义 火灾保险的理赔

(一)标准火灾保险单关于赔偿处理的基本规定

1.赔偿方式的选择

由于标准火灾保险单对于保险财产的保险金额采取按照保险财产的实际价值确定的方式,其赔偿方式的选择以维系保险财产的实际价值为原则。所以,保险人可以选择如下三种赔偿方式:

(1)按照受损财产的实际价值赔偿,即财产在发生全部损失时按市价计算的实际价值作为确定保险人承担经济补偿责任的标准;

(2)赔付受损财产基本恢复原状的修理或修复费用,即财产在发生部分损失时保险人可以根据恢复受损财产的原状所实际需要的修理或修复费用计算应该支付的赔款;

(3)通过修理或恢复受损财产达到与同类财产基本一致的状态,即财产在发生部分损失时保险人可以通过安排对于受损财产的修理或修复履行承担经济补偿的责任。

2.赔偿金额的衡量标准

对于标准火灾保险单所承保的财产在发生保险责任范围内的损失以后,损失财产的赔偿金额要根据财产损失当时的市价进行计算。受损财产损失当时的市价实际上就是保险财产的保险价值。当市价低于保险金额时,赔偿金额按照市价计算;市价高于保险金额时,赔偿金额按照保险金额与市价的比例进行计算。由于标准火灾保险单对于不同的保险标的采取分项列明保险金额的方式,保险责任形成时,不同的受损标的损失当时的市价既可能高于其保险金额,也可能低于保险金额。因此,必须分别计算每项受损标的的赔偿金额。如表7-1-5所示:

表7-1-5 保险公司对于某合资企业发生火灾损失后赔偿金额计算

3.残值的处理

标准火灾保险单列明的保险标的发生保险责任范围内的损失后,如果保险人按照全部损失赔偿被保险人的损失,则保险标的的残值应该在赔款中予以扣除,如果被保险人要求对于保险标的的损失推定全损,并且提出委付申请,保险人在接受委付申请的情况下,尽管承担全部损失责任,也不应在赔款中扣除残值;同样,保险人有权不接受被保险人对于受损财产的委付申请。

4.成对或成套使用的机器、设备或设施损失后的赔偿

对于某些必须成对或成套才能使用的机器、设备或设施发生规定的保险责任的损失后,保险人所承担的赔偿责任不超过该受损的机器、设备或设施在所属整对或整套机器、设备或设施的保险金额中所占的比例。

5.被保险项目之外的施救费用的处理

标准火灾保险单对于保险财产发生损失后必然产生的费用,已经通过承保附加费用的方式在保险单明细表中列明其保险金额,但危险发生后被保险人为了减少保险财产的损失,采取施救或保护措施所发生的费用则可以由保险人以保险财产项目的保险金额为限予以负责,即保险人可以承担与保险财产项目的保险金额相同金额的施救或保护费用,被保险人无需为这部分费用向保险人交付任何费用。《中华人民共和国保险法》第41条规定:“保险事故发生后,被保险人为防止或者减少保险标的的损失所支付的必要的、合理的费用,由保险人承担;保险人所承担的数额在保险标的损失赔偿金额以外另行计算,最高不得超过保险金额的数额。”在实际工作中,如果保险标的的部分损失和施救费用之和可能超过保险金额,保险人可以采取推定全损的处理方式。

6.部分损失赔偿后保险单有效保险金额的处理

保险人根据保险单履行了对于保险财产发生部分损失应承担的经济赔偿责任后,保险单生效时列明的保险金额将由保险人出具批单从损失发生之日起予以冲减,并不退还保险金额减少部分的保险费。如果被保险人要求恢复至原保险金额,应按照约定的短期保险费率加付恢复部分从损失发生之日起至保险期限终止之日按日比例计算的保险费。

7.被保险人的索赔期限

根据《中华人民共和国保险法》第261条的规定:“人寿保险以外的其他保险的被保险人或者受益人,对保险人请求赔偿或者给付保险金的权利,自其知道保险事故发生之日起二年不行使而消灭。”

(二)几种国外火灾保险的承保及理赔方式

资本主义国家经营火灾保险历史较长,为适应各种不同的需要,产生了多种承保及理赔方式,现介绍如下。

1.美国的共同保险

美国的火灾保险,除私人住宅外,通常都采用共同保险条款。在美国火灾赔案中,其损失金额在保险标的价值10%以下的占绝大多数,投保人往往不愿以高额投保。美国保险人针对这一情况,于保单上添加共同保险条款,要求投保人按标的价值若干成以上投保,最常见的共同保险条款为“80%共同保险条款”。依据这一条款,在损失发生后估价时,如保险金额大于或等于标的价值的80%,则任何金额的实际损失在保险金额及保险利益范围内能如数得到赔偿。反之,如保险金额小于标的价值的80%,则被保险人就须分摊一部分损失,在此情况下,其分摊的比例是以80%的标的价值为基础计算的。即:

2.英国的特别分摊

特别分摊又称75%分摊,其性质与美国的共同保险相同,如保险金额低于实际价值的75%时,适用比例分摊方式计算,如高于75%则不适用比例分摊,按实际价值赔偿,但以保险金额为限。现举例作如下说明。

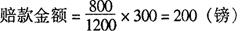
(1)某保单保额800镑,适用特别分摊条件,但由于财产损失时实际价值为1200镑,损失金额为300镑。保额低于实际价值的75%,因此,应按比例分摊方式计算赔款。

(2)假设保额900镑,适用特别分摊条件,实际价值1200镑,损失300镑,由于保额等于实际价值的75%,不必按比例分摊计算赔款,而按实际损失额300镑赔付。

(3)假设保额1000镑,适用特别分摊条件,实际价值1200镑,损失1100镑。由于保额超过实际价值的75%,故不采用比例分摊方式,由于按规定保险人的责任不能超过保险金额,故保单项下的赔款为1000镑。

上述一、二两种方式促使被保险人不能低额投保,必须投保保险财产价值的75%或80%,否则得不到足额赔偿。

3.统保保单

统保保单的特点是:(1)以一个总的保险金额,承保几个地点的财物;(2)对拥有许多房屋的大企业可以将全部财产的总保额分项承保,如将全部财产分成全部房屋、全部财物(货物除外)、全部货物三项。如在全部房屋中有80000~97000元价值的房屋多处,只要以一个97000元的保额投保,则全部房屋中的任何房屋受损都能得到赔偿。

当然,这种承保方式有利于被保险人,在英国往往采取统保加费或分摊条款。在美国则采取比例分配条款,在发生损失时,对每处财产的保险金额依每处财产占全部财产价值的比例来定,如以保额600000元承保甲、乙、丙、丁四个仓库的财产,当财产发生损失时,财产总值为900000元,则各仓库分配的保额如表7-1-6:

表7-1-6 仓库保额分配计算表

如甲仓失火,损失财产90000元,但分配保额为80000元,则赔款为80000元,如保单附有比例分摊条款,则赔款额为:

以一个总的保险金额承保被保险人几个地点的财物,这种统保方式有利于被保险人几个地点之间财物的相互流动;另一方面采用分摊、比例分配条款也可用来制约投保人的低额投保,或用统保加费的办法保障保险人的利益。

4.英国的申报保险

英国为保险货物专设了一种申报保单,保额为一年中货物可能达到的最高价值,先按75%收取全年保费,此后由被保险人每隔一定时间对保险人发出申报单,申报货物的价值,可能是某一固定日的价值,也可能是最高价值,具体价值视保单内容而定。保险人一收到申报单,即按申报价值承保,并按实际价值赔偿,被保险人根据申报单按期向保险人结算保费,多退少补。

这种方式对季节性生产或调拨物资频繁的单位十分适用,这些单位,淡季与旺季的库存物资的差距很大,如按一年中货物可能达到的最高价值作为保险金额,将多付保险费;按淡季价值作为保险金额,一旦旺季出险,因保险金额不足而得不到足额赔偿,因而采取这种方式。

5.英国的“两种条件分摊”条款

这一方式适用于承保公共仓库的货物,在承保的保单中,有的保单保的是指明仓库、指明货物;有的保单则是统保保单,一张保单保的货物分别贮存在几个仓库中,遇到损失时,由承保指明仓库、指明货物的保单,按比例分摊条件先赔,剩余的部分由统保保单分摊,这就叫两种条件分摊。现举例说明如下:

假定各保单保的都是同一种指明货物。

例1:保单1承保甲仓,保额2000镑,适用比例分摊条件;

保单2承保甲仓及乙仓,保额2000镑,适用两种条件分摊;

甲仓货物火灾损失1000镑;

货物实际价值为甲仓2000镑,乙仓3000镑。

保单1承保了指明仓库甲,首先由保单1赔付,由于保单1的保额与实际价值相等,故赔付1000镑,而保单2没有赔偿责任。

例2:保单1承保甲仓,保额2000镑;保单2承保甲仓及乙仓,保额2000镑,其余条件与1同;

乙仓发生火灾货物损失1000镑;

货物实际价值为甲仓2000镑;乙仓3000镑。

保单1没有承保乙仓,因此只有由保单2来赔付。

被保险人赔付金额=333.33(镑)

(实际净值为甲仓和乙仓的实际总值5000镑,减去保单1承保的甲仓货值)

例3:保单1承保甲仓,保额2000镑;保单2承保甲仓及乙仓,保额6000镑,分摊条件同1;

甲仓货物损失1000镑;

货物实际价值:甲仓4000镑,乙仓8000镑。

保单1首先赔偿:

保单1赔完后,保单2由于承保了甲仓和乙仓,应分摊赔偿余额。

计算结果:保单1赔500镑;保单2赔300镑;被保人自负200镑,共计1000镑。

以上几种方式,均可供参考。

随便看

 

离鸟网收录3541549条中英文词条,其功能与新华字典、现代汉语词典、牛津高阶英汉词典等各类中英文词典类似,基本涵盖了全部常用中英文字词句的读音、释义及用法,是语言学习和写作的有利工具。

 

Copyright © 2004-2024 vtrois.com All Rights Reserved
更新时间:2026/4/19 11:01:20