网站首页  词典首页


请输入您要查询的字词:

 

字词 潮汐动力学理论
类别 中英文字词句释义及详细解析
释义 潮汐动力学理论

根据流体动力学的原理和方法,研究海洋中潮波的一种潮汐理论。

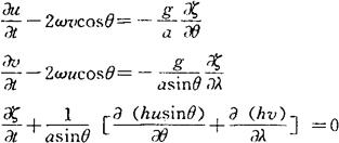
其基本方程是拉普拉斯潮汐方程:

式中,u和v分别为南北方向的速度分量从海面到海底的平均值;a是地球的平均半径;θ为极距;λ是经度;ω是地球的自转角速率;ζ是潮位高度;g为重力加速度;t为时间;h为从平均海平面到海底的平均深度。潮汐动力学方程为海洋潮汐的研究提供了有效手段。拉普拉斯假定全球被海水包围,对几种特殊深度的“海洋”求解,把潮位展成时间的谐和函数级数,得到了半日潮、全日潮和长周期潮的分布。

随便看

 

离鸟网收录3541549条中英文词条,其功能与新华字典、现代汉语词典、牛津高阶英汉词典等各类中英文词典类似,基本涵盖了全部常用中英文字词句的读音、释义及用法,是语言学习和写作的有利工具。

 

Copyright © 2004-2024 vtrois.com All Rights Reserved
更新时间:2026/4/17 17:58:42