网站首页  词典首页


请输入您要查询的字词:

 

字词 潮余流
类别 中英文字词句释义及详细解析
释义 潮余流

潮波运动与复杂地形之间的非线性相互作用而产生的流动。

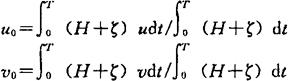
其定义如下:

其中,T是潮周期;H为平均水深;ζ是水位;u、分别是流速的东、北分量。潮余流一般为每秒几厘米。

潮余流虽然很小,但它可以影响水交换和水中悬浮粒子的运动。

随便看

 

离鸟网收录3541549条中英文词条,其功能与新华字典、现代汉语词典、牛津高阶英汉词典等各类中英文词典类似,基本涵盖了全部常用中英文字词句的读音、释义及用法,是语言学习和写作的有利工具。

 

Copyright © 2004-2024 vtrois.com All Rights Reserved
更新时间:2026/4/18 0:14:36