网站首页  词典首页


请输入您要查询的字词:

 

字词 潜能模式
类别 中英文字词句释义及详细解析
释义 潜能模式

空间相互作用除了涉及空间系统中两点之间的相互影响外,还包括空间系统的所有点对某一点所产生的影响问题。

为了解决后一个问题,又引入了潜能(或称为潜力、位势)概念。

潜能表示一个物体对另一物体产生的能,如j对i所产生的能是mi/Dij(mi为质量,Dij为距离)。一个系统中所有物体对某一点产生的潜能,等于每个物体所产生潜能的总和。

根据这一原理,空间系统中所有点对某一点所产生的影响,可先应用引力模型分别求出某点与其他每一点(包括与其本身)的相互作用量,然后求和,就得到该点与所有点的相互作用总量。

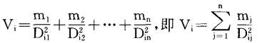
设空间系统中有n个离散点,对于i点的万有引力潜能为Vi,则

相似地,人口潜能Pi为:

考虑到距离指数(摩擦作用),人口潜能更一般的公式为:

式中,mj为j点(区域)的人口规模,b为参数。

随便看

 

离鸟网收录3541549条中英文词条,其功能与新华字典、现代汉语词典、牛津高阶英汉词典等各类中英文词典类似,基本涵盖了全部常用中英文字词句的读音、释义及用法,是语言学习和写作的有利工具。

 

Copyright © 2004-2024 vtrois.com All Rights Reserved
更新时间:2026/4/20 7:04:56