网站首页  词典首页


请输入您要查询的字词:

 

字词 漂白浆料稀释用水量的计算
类别 中英文字词句释义及详细解析
释义 漂白浆料稀释用水量的计算

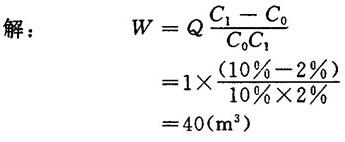
【公式】

式中 W——稀释用水量(m3)

Q——绝干纤维量(t)

C0——稀释后纸浆浓度(%)

C1——稀释前纸浆浓度(%)

【例】 某厂每小时生产绝干浆1000kg,由漂白塔送往真空洗浆机,漂白塔浓度为10%,送至真空洗浆机浓度为2%,问加入水量为多少?

随便看

 

离鸟网收录3541549条中英文词条,其功能与新华字典、现代汉语词典、牛津高阶英汉词典等各类中英文词典类似,基本涵盖了全部常用中英文字词句的读音、释义及用法,是语言学习和写作的有利工具。

 

Copyright © 2004-2024 vtrois.com All Rights Reserved
更新时间:2026/4/21 2:11:42