网站首页  词典首页


请输入您要查询的字词:

 

字词 滤饼过滤理论
类别 中英文字词句释义及详细解析
释义 滤饼过滤理论

用表面型过滤器时,经过很短的初始期后,在滤芯表面形成滤饼,开始滤饼过滤,这个过程中滤饼厚度在增长,通过滤饼的压降也随之增高,直到滤饼的压降超过允许的最大值,或杂质填满有效的空隙为止。因此除了计算过滤材料所形成的压降,还要考虑滤饼所产生的压降△p。

当压降增加时,而空隙率n与渗透率k不随之变化的这种简化滤饼称之为不可压缩滤饼。其压降△pc可用下式计算

式中 △pc——不可压缩滤饼的压降;

t——滤饼过滤时间;

k——滤饼的渗透率;

μ——过滤液体的动力粘度;

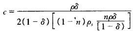
c——滤饼厚度系数,无量数纲。

其中ρ为液体的密度,δ为悬浮液中含有固体杂质的比例数,ρs为固体杂质的密度,n为滤饼的空隙率。

随便看

 

离鸟网收录3541549条中英文词条,其功能与新华字典、现代汉语词典、牛津高阶英汉词典等各类中英文词典类似,基本涵盖了全部常用中英文字词句的读音、释义及用法,是语言学习和写作的有利工具。

 

Copyright © 2004-2024 vtrois.com All Rights Reserved
更新时间:2026/4/21 18:37:43