网站首页  词典首页


请输入您要查询的字词:

 

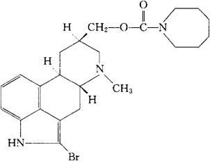
字词 溴麦角林
类别 中英文字词句释义及详细解析
释义 溴麦角林

C23H30BrN3O2=460.41

CAS-60019-20-7

2-溴-6-甲基-麦角灵-8β-甲醇六氢-1H-叮庚因-1-羧酸酯。

2-Bromo-6-methyl-ergoline-8β-methanol hexahydro1H-azepine-1-carboxylate(ester).

5-羟色胺拮抗药,抗高压药,血管扩张药。

Brazergoline.

INN,USAN.

随便看

 

离鸟网收录3541549条中英文词条,其功能与新华字典、现代汉语词典、牛津高阶英汉词典等各类中英文词典类似,基本涵盖了全部常用中英文字词句的读音、释义及用法,是语言学习和写作的有利工具。

 

Copyright © 2004-2024 vtrois.com All Rights Reserved
更新时间:2026/4/17 21:06:20