网站首页  词典首页


请输入您要查询的字词:

 

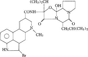
字词 溴隐亭
类别 中英文字词句释义及详细解析
释义 溴隐亭

C32H40BrN5O5=654.60

CAS-25614-03-3

2-溴-α-麦角隐亭。

2-Bromo-α-ergocryptine.

催乳激素抑制药。

Bromocriptine,Parlodel.

INN,BAN,BP,DCF,DCIT,JAN,NFN,USAN,USP,MI.

随便看

 

离鸟网收录3541549条中英文词条,其功能与新华字典、现代汉语词典、牛津高阶英汉词典等各类中英文词典类似,基本涵盖了全部常用中英文字词句的读音、释义及用法,是语言学习和写作的有利工具。

 

Copyright © 2004-2024 vtrois.com All Rights Reserved
更新时间:2026/4/18 22:02:46