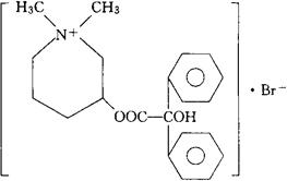
溴美喷酯
C21H26BrNO3=420.35 CAS-76-90-4 3-[(羟二苯乙酰基)氧]-1,1-二甲基哌啶鎓的溴化物。 3-[(Hydroxydiphenylacetyl)oxy]-1, 1-dimethylpiperidinum bromide. 溴化3-羟-1,1-二甲基哌啶鎓的二苯乙醇酸酯。 3-Hydroxy-1,1-dimethylpiperidinium bromide benzilate. 抗胆碱药。 用于胃肠道痉挛。 宁胃适。 Mepenzolate Bromide,Cantil. INN,BAN,JAN,NF,NFN,USAN,USP,MI. 
|