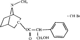
溴甲基阿托品[中]
C18H26BrNO3=384.31 CAS-2870-71-5 IαH,5αH-托烷-3α-醇(±)-托品酸酯,甲基溴化物。 1αH,5αH-Tropan-3α-ol(±)-tropate(ester)methyl bromide. 抗胆碱药。用于胃及十二指肠溃疡、胃肠炎和胃酸过多等症。 胃乐平,胃疡平,溴甲阿托品,溴甲烷阿托品。 Atropine Methtyl Bromide,Atropine Methobromide,Methylatropine Bromide. 溴甲基阿托品片。 BP,DCIT,GDP,NP,PH,MI. 
|