网站首页  词典首页


请输入您要查询的字词:

 

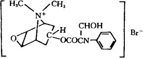
字词 溴甲基东莨菪碱
类别 中英文字词句释义及详细解析
释义 溴甲基东莨菪碱

C18H24BrNO4=398.30

CAS-155-419

溴化6β,7β-环氧-3α-羟-8-甲基-1αH,5αH-托品烷托品酸酯。

6β,7β-Epoxy-3α-hydroxy-8-methyl-1αH,5αH-tropanium bromide(-)-tropate.

抗胆碱药。

甲溴东莨菪碱。

Methscopolamine Bromide,Hyocine Methobromide,Scopolamine Methobromide,Restropin.

溴化甲基东莨菪碱片。

BAN,NF,USAN,MI.

随便看

 

离鸟网收录3541549条中英文词条,其功能与新华字典、现代汉语词典、牛津高阶英汉词典等各类中英文词典类似,基本涵盖了全部常用中英文字词句的读音、释义及用法,是语言学习和写作的有利工具。

 

Copyright © 2004-2024 vtrois.com All Rights Reserved
更新时间:2026/4/20 11:53:39