网站首页  词典首页


请输入您要查询的字词:

 

字词 溴烯巴比妥
类别 中英文字词句释义及详细解析
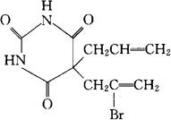
释义 溴烯巴比妥

C10H11BrN2O3=287.11

CAS-561-86-4

5-烯丙基-5-(2-溴烯丙基)巴比土酸。

5-Allyl-5-(2-bromoallyl)barbituric acid.

催眠镇静药。

溴烯比妥。

Brallobarbital,Vesperone,Ucedormo.

INN,DCF,DCIT,USAN,MI.

随便看

 

离鸟网收录3541549条中英文词条,其功能与新华字典、现代汉语词典、牛津高阶英汉词典等各类中英文词典类似,基本涵盖了全部常用中英文字词句的读音、释义及用法,是语言学习和写作的有利工具。

 

Copyright © 2004-2024 vtrois.com All Rights Reserved
更新时间:2026/4/19 8:32:11