网站首页  词典首页


请输入您要查询的字词:

 

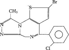
字词 溴替唑仑[中]
类别 中英文字词句释义及详细解析
释义 溴替唑仑[中]

C15H10BrClN4S=393.69

CAS-57801-81-7

2-溴-4-(2-氯苯基)-9-甲基-6H-噻吩并[3,2-f][1,2,4]三唑并[4,3-a][1,4]-二氮杂

2-Bromo-4-(2-chlorphenyl)-9-methyl-6H-thieno[3,2-f][1,2,4]triazolo[4,3-a][1,4]-diazepine.

安定药,催眠药。

Brotizolam,We 941,Lendorm Ladormin.

INN,BAN,USAN.

随便看

 

离鸟网收录3541549条中英文词条,其功能与新华字典、现代汉语词典、牛津高阶英汉词典等各类中英文词典类似,基本涵盖了全部常用中英文字词句的读音、释义及用法,是语言学习和写作的有利工具。

 

Copyright © 2004-2024 vtrois.com All Rights Reserved
更新时间:2026/4/18 2:42:07