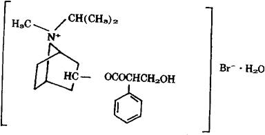
溴化异丙基阿托品[中]
C20H30BrNO3·H2O=430.38 CAS-22254-24-6 (±)-(8γ)-3α-羟-8-异丙基-1αH,5αH-托品烷鎓溴化物(±)-托品酸酯,一水化合物。 (±)-(8γ)-3α-Hydroxy-8-isopropyl-1αH,5αH-tropanium bromide(±)-tropate,monohydrate. (±)2-(3-羟-1-氧代-2-苯基丙氧)-8-甲基-8-(1-甲基乙基-溴化物-托品酸酯一水化合物(内盐,均式)。 2-(3-Hydroxy-1-oxo-2-phenylpropoxy-8-methyl-8-(1methylethyl)bromidepat monohydrate(endo,syn) 抗胆碱药。用于慢性支气管炎及喘息。 溴异丙托品。 Isopropyl Atropine Bromide,Ipratropium Bromide,Atrovent,Sch 1000 Br-monohydrate. INN,BAN,DCF,DCIT,JAN,NFN,USAN,MI.  |