渐开线花键
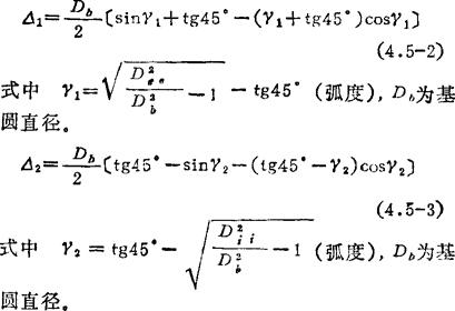
1.3.1 圆柱直齿渐开线花键的基本参数 标准压力角为30°、37.5°和45°、模数从0.25至10mm,齿侧配合的圆柱直齿渐开线花键(GB/T3478.1—1995).其基本参数见表4.5-11.30°花键适用于固定联接、滑动联接和浮动联接,如汽车、拖拉机变速箱、汽车传动轴.航空减速器轴、螺旋桨轴;45°花键的齿矮,对零件削弱小,弯曲强度高,适于薄壁零件且适用冷成型加工,通常用于传动精度要求不太高的结构,取代原三角形花键,如传动轴、操纵轴。37.5°花键也适于冷成型加工。 表4.5-11 渐开线花键的基本参数(摘自GB/T3478.1—1995) mm 渐开线花键尺寸的计算公式见表4.5-12.标准压力角为30°、37.5°或45°时,外花键大径基本尺寸系列分别见表4.5-13、4.5-14、4.5-15。 表4.5-12 渐开线花键尺寸计算公式(摘自GB/T3478.1—1995) 图中T为加工公差;λ为综合公差:T十λ为总公差;esV为作用齿厚SV上偏差;CV为作用侧隙,亦称全齿侧隙.即内花键作用齿槽宽减去与之相配的外花键作用齿厚.其正值为间隙.负值为过盈;CVmax、CVmin为CV的最大值和最小值。 表4.5-16 渐开线花键公差的计算式(摘自GB/T3478.1—1995) μm  式中z为齿数,D为分度圆直径(mm),E为基本齿槽宽。βs的极限偏差为±30′。 此时,在外花键大径Dea和内花键小径 处的直线与渐开线的差值为△1和△2。其算式如下:  计算表明,差值△1和△2随齿数增加而减小,随模数增大而增大;差值△1大于差值△2。例如,z=24,m=1时△1=0.019mm,m=2时△1=0.038mm;z=48,m=2时△1=0.019mm。设计时,应校核△1值,一般不应大于0.04mm,才允许用直线齿形代替渐开线齿形。采用直线齿形对其花键拉刀制造有利。 |