混合策略
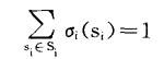
是纯策略的某种加权组合,权数表达了选择纯策略的概率。 设有一含N个局中人的对策,Si是局中人i(=1,2,…,N)的纯策略集。形式上,称任何满足:  的函数σi∶Si→[0,1]为局中人i的一个混合策略,其中σi(si)解释为i选择策略si的概率。 引入混合策略概念的主要好处在于它使得纳什均衡必定存在。考虑如图所示的标准型对策,它不存在纯策略纳什均衡。 记σA(上)=τ,σB(左)=λ,0≤τ,λ≤1。混合策略组或行动σ=(σA,σB)完全决定于τ,λ,就简记为(τ,λ)。 在(τ,λ)之下,局中人i的期望支付为 Eui(τ,λ)=τ[λui(上,左)+(1-λ)ui(上,右)]+(1-τ)[λui(下,左)+(1-λ)ui(下,右)] 其中i=A,B。若一个行动( ,#)同时满足以下两个不等式: EuA( , )≥EuA(τ,#),对所有0≤τ≤1, EuB( , )≥EuB( ,λ),对所有0≤λ≤1, 则称( , )为一个混合策略纳什均衡。 以支付矩阵的数据代入,得EuA(τ,λ)=(1-τ)(2λ-1),EuB(τ,λ)=(1-λ)(3-4τ)。 容易验证,当 =3/4, =1/2时,上述两不等式同时成立,因此行动(3/4,1/2)是一个混合策略的纳什均衡。 
|