网站首页  词典首页


请输入您要查询的字词:

 

字词 混合气体
类别 中英文字词句释义及详细解析
释义 混合气体

由若干种理想气体组成的混合气体也可以当作理想气体处理,因而也服从理想气体状态方程pv=RT及μR=8314.3J/(kmol·K),必须注意的根据混合气体中各种成分气体的成分,Rm及μ可用下列各式计算:

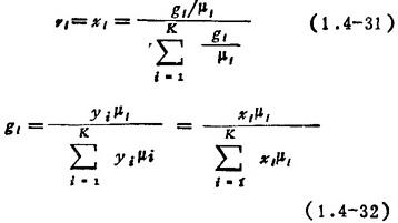
式中,为某成分气体的质量成分;

,为某成分气体的容积成分;

,为某成分气体的千克摩尔成分。

这三种成分可用下列公式换算:

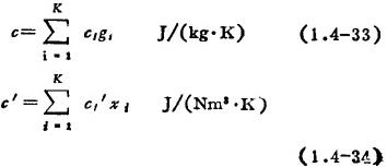
混合气体的比热可由下列公式计算:

随便看

 

离鸟网收录3541549条中英文词条,其功能与新华字典、现代汉语词典、牛津高阶英汉词典等各类中英文词典类似,基本涵盖了全部常用中英文字词句的读音、释义及用法,是语言学习和写作的有利工具。

 

Copyright © 2004-2024 vtrois.com All Rights Reserved
更新时间:2026/4/18 8:27:55