淡绿SF(淡黄色)
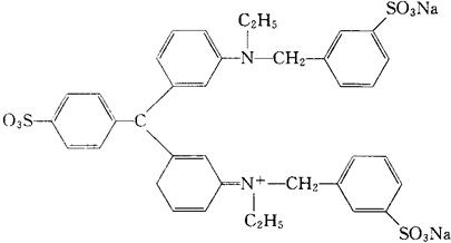
C37H34N2Na2O9S=792.85 CAS-5141-20-8 N-乙基-N-[4-[[4-[乙基[(3-硫代苯基)甲基]氨基]苯基](4-硫代苯基)亚甲基]2,5-环己二烯-1-亚基]-3-硫代苯甲烷铵氢氧化物,内盐,二钠盐。 N-Ethyl-N-[4-[[4-[ethyl[(3-sulfophenyl)methyl]amino]phenyl](4-sulfophenyl)methylene]-2,5-cyclohexadien-1-ylidene]-3--sulfobenzenemethanaminium hydroxide,inner salt,disodium salt. 乙基[4[对-[乙基(间-硫代苄基)氨基]-α-(对-硫代苯基)亚苄基]-2,5-环己二烯-1-亚基](间-硫苄基)氢氧化铵内盐二钠盐。 Eethyl[4-[p-[ethyl(m-sulfobenzyl)amino]-α-(psulfophenyl)benzylidene]-2,5-cyclohexadien-1-ylidene](m-sulfobenzyl)ammonium hydroxide innersalt disoium salt. 诊断用药(用于细菌的染色)。 Light Green S F Yellowish,C.I.Acid Green 5,FD&-C Green No.2. MI.  |