网站首页  词典首页


请输入您要查询的字词:

 

字词 液压工程中的总压力计算
类别 中英文字词句释义及详细解析
释义 液压工程中的总压力计算

液压工程中计算作用在柱形曲面,或部分球面上的总压力时,因液体自重形成的压力微不足道,故忽略ρgh项,此时p0就是工作压力ps,因此得总压力:

Fx=pxAx,Fv=户sAy (1.1-4)

式中 ps——曲面上所受的工作压力;

Ax——曲面在与x轴正交的坐标平面上的投影面积;

Ay——曲面在与y轴正交的坐标平面上的投影面积。

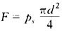
如图1.1-3所示的球阀,当工作压力为ps,则球阀上所受到的总压力:

随便看

 

离鸟网收录3541549条中英文词条,其功能与新华字典、现代汉语词典、牛津高阶英汉词典等各类中英文词典类似,基本涵盖了全部常用中英文字词句的读音、释义及用法,是语言学习和写作的有利工具。

 

Copyright © 2004-2024 vtrois.com All Rights Reserved
更新时间:2026/4/18 2:24:14