网站首页  词典首页


请输入您要查询的字词:

 

字词 液压冲击
类别 中英文字词句释义及详细解析
释义 液压冲击

当管道中的阀门突然关闭或开启时,管内液体的压力发生急剧交替升降的阻尼波动过程,叫做液压冲击(又叫水锤)。例如,容器与管路的一端接通,另一端设有一开关阀,液体从容器经管路、开关阀以某一速度流出。若将开关阀突然关闭,则在阀附近产生极高的压力,形成往复振荡的压力波,并产生多次谐波,且因阻尼的作用,波动逐渐消失,压力波幅值逐渐衰减。当将开关突然开启时,压力会骤然降低,其过程和压力突增时类似。

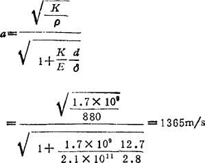
在等直径管中,阀门突然关闭时,液体中压力波的传播速度α按下式计算:

式中 K为液体的体积弹性模量,一般液压油取700~1400MPa;E为管材的弹性模量,见表7.2-3;ρ为液体密度;d为管道内径;δ为管壁厚度。

表7.2-3 管材的弹性模量E

在液压管道中,一般α=900~1400m/s。例如:ρ=880kg/m3,K=1.7×103MPa,管中原来液体流动的平均流速v=5m/s,E=2.1×105MPa,d=12.7mm。δ=2.8mm,则

压力升高△p=ρva (7.2-10)故△p=800×1365×5=6MPa。即在原来压力的基础上又增加了6MPa。

相长tc,即压力波沿管的总长L来回一次的时间,可表示为

tc=2L/α (7.2-11)

例中若管长为12m。则tc=2×12/1365=0.0175s。

减缓液压冲击的措施:1.尽可能地使阀门开关动作缓慢,如带锥台的阀芯就可比直角凸肩的阀芯动作缓慢;2.在液压冲击源(阀门)附近设置卸荷阀;3.在液压冲击源之间设置能吸收冲击压力的蓄能器;4.限制管内的流速。

随便看

 

离鸟网收录3541549条中英文词条,其功能与新华字典、现代汉语词典、牛津高阶英汉词典等各类中英文词典类似,基本涵盖了全部常用中英文字词句的读音、释义及用法,是语言学习和写作的有利工具。

 

Copyright © 2004-2024 vtrois.com All Rights Reserved
更新时间:2026/4/18 10:51:29