网站首页  词典首页


请输入您要查询的字词:

 

字词 液压CAT软件
类别 中英文字词句释义及详细解析
释义 液压CAT软件

CAT软件和CAD软件一样,具有系统软件、支撑软件和应用软件。关于系统软件和支撑软件的形式和选择原则,可以依据CAD软件相仿的思想确定。在此要叙述的是CAT的应用软件。一般提到CAT软件就是指应用软件,因为应用软件是为适应某一领域而研制的软件,故液压CAT软件就是液压领域的应用软件。液压CAT系统的功能就确定了液压CAT软件的设计要求,CAT作用的发挥主要取决于软件的性能。CAT软件主要完成实验数据的采集和处理,硬件系统完成现场数据采集,软件则将硬件采集的数据,通过数据采集程序输入计算机,存储到外部设备保存起来,并可随时供数据处理程序提取进行处理。软件的数据处理部分则要完成特性值计算、打印、绘图等功能。有的CAT系统中的软件还具有控制液压参量(如:温度、压力、流量)的功能。

CAT软件的一般设计内容是:
❶ 性能测试系统应满足测试项目、内容,实验方法的要求,它们应符合有关标准,实验结果应满足精度要求;
❷ 如需要系统能控制液压参量,因此需要设计相应的采控软件;
❸ 数据采集和处理的功能指的是特性参数的计算、特性曲线的拟合、实验数据的建模、误差分析等;
❹ 测量传感器的标定方法应根据测量精度要求,进行联机标定后进行非线性校正;
❺ 有多种形式的输出结果、屏幕显示、打印、绘图、数据文件管理等。

上述第一项要求在有关标准中已有详细介绍,传感器的标定将在液压测试技术篇中介绍,有关软件编制的内容也不再重述。本节将就参量控制方法及数据采集和处理的若干问题进行说明。

(1)液压参量的控制方法

要求液压CAT系统控制的液压参量有温度、压力和流量。这些参量是试验中的调节参数,常规试验时,一般直接控制压力、流量或温度的控制装置。如用溢流阀或比例压力阀控制压力,采用CAT系统时,由计算机D/A输出或用数字PID调节器控制比例压力阀。对于温度、流量也可参照相同的原理进行。

(2)数据采集和处理

A.实验数据的采集和存储

为了提高数据记录的速度和精度,CAT首先要实现试验数据的采集并用文件的方式存储数据,根据所记录的物理量和所用传感器二次仪表的不同,采集有不同的技术方法。其一是利用传感器的二次仪表输出的BCD开关量,经过多通道的BCD到IEEE-488标准接口的数据转换单元,由软件实现从仪表BCD输出,在计算机内读取数据。另一种是传感器的输出经二次仪表转换成标准电压,然后输入微机的A/D通道,经过多路开关进行采集,再通过编程实现数据采集和存储。

B.试验数据的处理

(A)特性值的计算

对象的工作特性不同,测试的实验参数和输出数据也不同,因此测试设备及试验方法也不相同,如对液压泵、液压马达、液压泵—液压马达系统的工作性能测试时,采用了工作特性分析法。工作特性是指这些对象的特性参数随工作点变化而变化的规律。进行工作特性分析首先必须知道的物理量是压力、流量、扭矩、转速这四个参数。根据采集的数据,液压泵工作特性参数的基本公式如下:

测试参数:△p、Q、T、n分别代表压力差、实际流量、扭矩和转速。

为了绘制工作特性曲线,即输出量是二元(泵(△p,Q)马达(n,T))工作面的特性曲线,研制开发了寻等值线程序,框图见图6.3-18,调用该程序即可得到等总效率曲线、等输入功率曲线、等压差曲线和输入扭矩曲线等。以上这种方法称之为直接拟合法。

C.实验建模法及误差分析

由分段拟合法可以得到高精度的处理结果,但该方法要求有足够多的实验测试点,且对实验设备的转速稳定条件要求高。考虑到泵和马达的工作特性是由扭矩损失Tl和流量损失Ql确定的。建立损失的数学模型对于工作特性确定十分重要。经过对大量数据的分析研究,泵的扭矩损失规律可由下面形式的数学模型(双三次样条函数)来精确描述

式中 △p——工作压力;

np——转速;

a1,a2,a3,…,a10为系数。

根据实验数据建立包含a1,a2,a3,…,a10在内的10个线性方程组,利用最小二乘法确定上述10个系数,虽然计算量很大,采用微机处理是很方便的。对于流量损失,因为变化规律简单得多,采用已有的模型能满足要求。

这种建模技术可以用较少的数据(约为常规点数的1/5~1/3),转速不必严格控制,即可取得满意的结果,省时、节能、而且曲线绘制方便,不会出现畸形。根据损失模型,还可合理预测在测试范围外工作区域的工作特性,因而建模法是一个行之有效的方法。

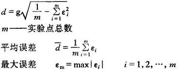
误差分析:为了验证上述两种方法的可靠性,以实测计算数据为基础,对直接拟合法和建模法计算的数据进行误差分析,采用的误差分析参数定义为:

绝对误差为由实测值计算出的数值,η为由直接拟合法或建模法得到的值。

均方根误差

误差分析程序的框图如图6.3-19所示。

图6.3-19 误差分析程序框图

实验证明,建模法所得到的总效率的均方根误差小于1%,未超过B级测试精度和测量随机误差的范围。

随便看

 

离鸟网收录3541549条中英文词条,其功能与新华字典、现代汉语词典、牛津高阶英汉词典等各类中英文词典类似,基本涵盖了全部常用中英文字词句的读音、释义及用法,是语言学习和写作的有利工具。

 

Copyright © 2004-2024 vtrois.com All Rights Reserved
更新时间:2026/4/18 5:22:32