网站首页  词典首页


请输入您要查询的字词:

 

字词 液体自容器的小孔(缝)流出时间的计算
类别 中英文字词句释义及详细解析
释义 液体自容器的小孔(缝)流出时间的计算

1.液体流空的时间计算

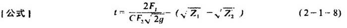
[说明]当上述容器在没有液体补充的非稳定流动情况下,让液体自H液位起,从容器底部或底侧Z2位置小孔流空的时间可用下式计算。

式中 t——时间(s)

Z1——开始时液位fm)

Z2——小孔位置离基准面的高度(m)

F1——容器的横截面积(m2)

F——小孔的截面积(m2)

q——重力加速度(9.81m/s2)

2.液体流出一部分的时间计算

[说明]若只须使液体流出总液量的一部分,则所需时间计算如下。见图2-1-1

式中 t——时间(s)

Z2——任意停止外流时的液位高度(m)

其它同上

随便看

 

离鸟网收录3541549条中英文词条,其功能与新华字典、现代汉语词典、牛津高阶英汉词典等各类中英文词典类似,基本涵盖了全部常用中英文字词句的读音、释义及用法,是语言学习和写作的有利工具。

 

Copyright © 2004-2024 vtrois.com All Rights Reserved
更新时间:2026/4/17 23:59:18