网站首页  词典首页


请输入您要查询的字词:

 

字词 液体动压径向滑动轴承的设计计算
类别 中英文字词句释义及详细解析
释义 液体动压径向滑动轴承的设计计算

计算用名词术语见表4.9-33。滑动轴承的承载量系数S0可根据a、B/D及ε分别由图4.9-3(a=360°)及4.9-4(a=180°)查取。其中的有效角速度ω,外载稳定时,ω=ωsB;外载为随轴回转的离心载荷时,ω=|ωB-ωs|。滑动轴承的摩擦系数f/ψ分别由图4.9-5(a=360°)及4.9-6(a=180°)查取。滑动轴承的承载区油流量系数q1分别由图4.9-7(a=360°)及4.9-8(a=180°)查取。非承载区油流量系数q2,按表4.9-34中的相应公式计算。径向滑动轴承的参数选择见表4.9-36。

表4.9-33 液体动压径向轴承的计算用名词术语

表4.9-34 非承载区油流量系数的计算公式

❷  轴承温升的计算。对于非压力供油径向滑动轴承,可以认为滑动轴承的摩擦生热全部通过轴承体向周围大气散逸,由此得:

❷  选择轴瓦材料和结构:选用锡基轴承合金ZSnSb11Cu6为轴承衬材料。由表4.9-22查得〔p〕=25MPa,〔pv〕=100MPa·m/s,满足要求。其结构采用置于上端的单油腔入油(表4.9-34中型式4),取

❸  确定轴承相对间隙ψ:根据表4.9-35得

ψ=0.8×10-3×v0.25=0.8×10-3×12.570.25=0.0015

❹ 选择润滑油,确定粘度μ:初步选用L-AN68全损耗系统用油。假定平均温度tm=60℃,先由图4.11-2查得其运动粘度,然后换算出动力粘度为0.024Pa·s。

❺  承载量系数:

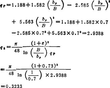
❻  求偏心率ε:由S0=1.869及,查图4.9-3得ε=0.73。

❼  最小油膜厚度:由(4.9-2)式得

hmin=Rψ(1-ε)=60×0.0015(1-0.73)=0.0243mm

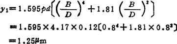
❽  许用最小油膜厚度〔hmin〕:由表4.9-35,取,再由(4.9-3)、(4.9-4)式得

由于轴刚度大,y2忽略不计,故

能保证完全液体润滑。

❾  摩擦系数f:由S0=1.869及B/D=0.8,查图4.9-5得f/ψ=2.8,因而

f=2.8ψ=2.8×0.0015=0.0042

❿  润滑油流量Q:由ε=0.73及B/D=0.8。查图4.9-7得q1=0.125。因而

又由表4.9-34得

因而

总油流量为:

⑾ 温升计算:由式(4.9-11)得

⑿ 修改计算:重新假设润滑油平均温度tm=50℃,重复以上❹ ~⑾计算,可得:μ=0.036Pa·s,S0=1.246,ε=0.66,hmin=30.6μm,f=0.0051,Q1=6.12×10-5m3/s,Q2=0.925×10-5m3/s,Q=7.045×10-5m3/s,tm=48.1~52.1℃。此时与假设值相符。

⒀ 摩擦功率: Pf=Ffv=48000×0.0051×12.57=3077W

⒁ 选择轴承配合:选用配合,则得

平均相对间隙:

随便看

 

离鸟网收录3541549条中英文词条,其功能与新华字典、现代汉语词典、牛津高阶英汉词典等各类中英文词典类似,基本涵盖了全部常用中英文字词句的读音、释义及用法,是语言学习和写作的有利工具。

 

Copyright © 2004-2024 vtrois.com All Rights Reserved
更新时间:2026/4/18 0:54:32