网站首页  词典首页


请输入您要查询的字词:

 

字词 液体亚铵需要量的计算
类别 中英文字词句释义及详细解析
释义 液体亚铵需要量的计算

【公式】

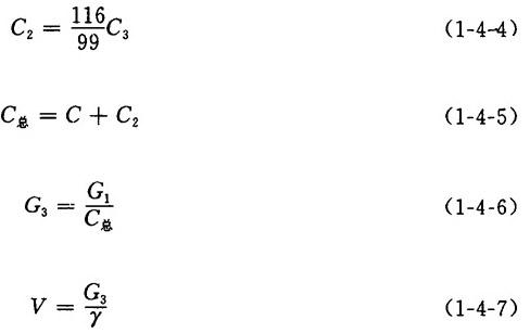
式中 C2——亚氢铵转化成亚铵的百分率

C3——亚氢铵含量(%)

99——亚氢铵的摩尔质量

116——亚铵的摩尔质量

C——溶液中总亚铵的百分率(%)

C——亚铵含量(%)

G3——每球所需液体亚铵量(以重量计)(kg)

V——每球所需液体亚铵量(m3)

G1——每球所需固体亚铵量(kg)

γ——亚铵溶液的密度(kg/m3)

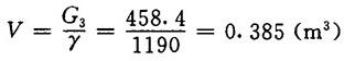
【例2】在例1中,若亚铵溶液中亚氢铵含量为37.9%,亚铵含量为35%,亚铵溶液的密度为1190kg/m3,求所需液体亚铵的重量和体积。

解:亚氢铵转化成亚铵的百分率C2

配制溶液中总亚铵百分率C

C=C+C2=35%+44.4%=79.4%

每球所需液体亚铵重量G3

每球所需液体亚铵体积V

随便看

 

离鸟网收录3541549条中英文词条,其功能与新华字典、现代汉语词典、牛津高阶英汉词典等各类中英文词典类似,基本涵盖了全部常用中英文字词句的读音、释义及用法,是语言学习和写作的有利工具。

 

Copyright © 2004-2024 vtrois.com All Rights Reserved
更新时间:2026/4/18 3:26:17