网站首页  词典首页


请输入您要查询的字词:

 

字词 润滑脂的选用计算实例
类别 中英文字词句释义及详细解析
释义 润滑脂的选用计算实例

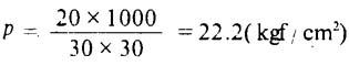
[例]某厂用25m3蒸球蒸煮木片,转速为0.48r/min,所承受载荷为球体自重加蒸煮物共20t,蒸煮最高温度190℃,轴承部温度为160℃,轴颈直径d=300mm,轴瓦宽e=300mm,原采用二硫化钼润滑脂,是否正确?试确定润滑方法及选择润滑剂。

解:
❶ 核定润滑方法

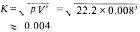
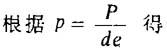
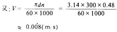
故:轴承的平均载荷数K为:

当K≤6时,应采用润滑脂润滑。

❷ 润滑脂的选择

因为蒸球轴承是在高温、高压、低速下工作的,所以轴承润滑应选择耐高温、重负荷、低转速的润滑指,查机械设计手册《常用润滑脂的性质及用途》表知,选用ZN6-4高温润滑脂较适宜,主要用于工作温度140~160℃高温低转速重负荷的摩擦部位。

二硫化钼虽然也具有耐高温(180℃)及抗压性,但它不适应在低转速条件下工作,不能允分形成油膜,起到润滑作用,因此,使用二硫化钼作润滑蒸球轴承润滑剂是不合适的。然而、若将ZN6≤4润滑脂掺入适量(0.01%)二硫化钼粉,可提高润滑脂的抗压性,降低摩擦系数,减少磨损,改善润滑脂的润滑性能。

随便看

 

离鸟网收录3541549条中英文词条,其功能与新华字典、现代汉语词典、牛津高阶英汉词典等各类中英文词典类似,基本涵盖了全部常用中英文字词句的读音、释义及用法,是语言学习和写作的有利工具。

 

Copyright © 2004-2024 vtrois.com All Rights Reserved
更新时间:2026/4/18 11:41:25