网站首页  词典首页


请输入您要查询的字词:

 

字词 消防车供水压力
类别 中英文字词句释义及详细解析
释义 消防车供水压力

火场供水中,为了科学合理地组织供水,需要对消防车水泵的出口压力,水枪流量等进行计算。

消防车水泵的出口压力与水枪流量、水枪喷嘴压力的关系,可以从理论上进行计算。

(一)消防车水泵压力基本计算公式

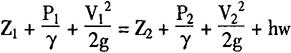
如图2-6-20所示,确定消防车水泵压力计算公式。

列1-1、2-2断面能量方程:

因为:Z2-Z1=H

P2=0

则:HB=hd+hq+H

式中:HB——消防车水泵压力,MPa;

hd——水带系统的水头损失,MPa;

hq——水枪喷嘴压力,MPa;

H——消防车水泵出口与水枪喷嘴出口间的高差静压,MPa。

上式即为消防车水泵出口压力的基本计算公式。

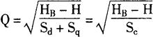
(二)已知水泵压力,确定水枪流量和压力

在火场供水中,如果已知消防水泵的出口压力,则根据消防车泵压力基本计算公式,有以下水枪流量的计算公式

式中:Q——水枪流量,l/s;

HB——消防车水泵出口压力,kPa;

H——消防车水泵出口与水枪喷嘴间的高差静水压,kPa:

Sd——水带的阻抗系数;

Sq——水枪的阻抗系数;

Sc——水带系统的总阻抗。

(三)水泵出口压力计算

在火场上、消防指战员往往要根据火场需要的有效射程要求,确定消防车水泵的出口压力,以保证有效地扑灭火灾。

1.消防车单干线或双干线供水时的水泵出口压力计算。

单干线或双干线供水时,消防车水泵出口压力计算方法相同。应该指出的是,不论采用多少路干线供水,只要不超过消防泵的供水能力,消防水泵出口压力的计算方法均相同。即水泵的出口压力按一路水带干线计算。

消防车水泵的出口压力,可直接按公式计算。

2.分水器供水时消防车出口压力计算

利用分水器供给数支水枪出水时的消防车出口压力,应满足最不利点水枪的有效射程要求。消防车出口压力用下列公式计算:

HB=hf+hdg+H

hf=hq+hd1

式中:HB——消防车水泵出口压力,kPa;

hdg——水带干线压力损失,kPa;

hd1——工作水带压力损失,kPa;

hq——水枪喷嘴压力,kPa;

hf——分水器处压力,kPa;

H——标高差静压,kPa。

3.多干线并联供水消防车出口压力计算

火场供水中,当使用大口径水枪(带架水枪)时,需要数支干线并联供水。多干线并联供水时,消防车出口压力按下列计算。

HB=hdb+hq+H

式中:HB——消防车出口压力,kPa;

hdb——多干线并联水带系统压力损失,kPa。当采用干线的长度、水带型号、直径相同时,则每路干线内的流量相同,即每路干线的流量为(Q为水枪流量,n为干线路数);若干线的水带长度,直径,型号不同时,应按水带并联系统的阻抗Sc,并按hdb=ScQ2计算水带系统的压力损失;

h——水枪喷嘴压力,kPa;

H——标度差静压,为消防车停靠地面与水枪手站立地面的垂直高度之差产生的静压kPa。

在火场供水中,为了避免水带破裂而供水中断,在使用麻质水带供水的情况下,消防车的出口压力一般不宜超过800kPa。因此,在火场供水中应尽量采用耐压强度较大的水带和供水能力较大的消防车。

随便看

 

离鸟网收录3541549条中英文词条,其功能与新华字典、现代汉语词典、牛津高阶英汉词典等各类中英文词典类似,基本涵盖了全部常用中英文字词句的读音、释义及用法,是语言学习和写作的有利工具。

 

Copyright © 2004-2024 vtrois.com All Rights Reserved
更新时间:2026/4/18 14:07:33