网站首页  词典首页


请输入您要查询的字词:

 

字词 消费税及计算
类别 中英文字词句释义及详细解析
释义 消费税及计算

1.消费税的概述

(1)什么是消费税

消费税是对在我国境内从事生产、委托加工和进口税法规定的应税消费品的单位和个人就其产品销售收入金额或产品数量征收的一种税。

消费税是世界各国广泛实行的税种,而且它在各国税收总额中占有相当的比重,特别是发展中国家。消费税是商品课税类中的一个主要形态。在我国历史上,国家曾经对一些消费品采取过课征重税的方法,以满足不同历史时期的某些特殊需要。这次工商税制改革前,也曾对一些消费品在流转环节实行了较高的税率,征收较高数额的增值税或产品税。也就是说,长期以来,我国一直都征收消费税,只是不叫消费税,或没有单独成为一个税种。

(2)开征消费税对税负的影响

我国流转税改革以增值税作为普遍调节税种对生产经营活动实行普遍征收,辅之以消费税作为特殊调节税种选择部分消费品实行交叉征收的双层调节。消费税集中体现了国家的产业政策和消费政策,调节我国的消费结构,正确引导消费方向,抑制超前消费需求。

从这次税制改革方案的设计上看,消费税的收入是从原税制的产品税、增值税中分离出来的一部分收入所构成的,属于新老税制收入的结构性调整,并不是额外向消费者再征收一道税。征收消费税的烟、酒、化妆品、鞭炮焰火、护肤护发品、汽油、柴油、小轿车、摩托车、汽车轮胎、金银首饰及珠宝玉饰,这11种商品的价格中过去就一直含有份额不等的流转税,并且这类商品中的价内税比例一直是相对比较高的。这次税制改革以统一的税率对这些商品征收的增值税低于原有的流转税份额。按照国际上一般的做法和国家的消费政策,只是把上述消费品中原税负高于增值税的部分转化为消费税单独征收,所以总体上这些商品税负并没有增加,基本上维持了改革前的税负水平。所以,开征消费税不会也不应该引起物价上涨。

国务院于1993年12月13日发布了《中华人民共和国消费税暂行条例》。自1994年1月1日起施行。

2.消费税的主要课征制度

(1)纳税人

根据消费税暂行条例的规定,消费税的纳税义务人是指在我国境内生产、委托加工和进口应纳消费税产品的国有企业、集体企业、私有企业、股份制企业、其他企业和行政单位、事业单位、军事单位、社会团体以及其他单位和个体经营者、其他个人。具体包括:

❶ 从事生产属于应纳消费税产品的单位和个人;

❷ 委托加工属于应纳消费税产品的单位和个人,委托加工的应税消费品,由受托方在向委托方交货时代缴税款,委托加工的应税消费品,委托方用于连续生产应税消费品的,所纳税款准予按规定抵扣。

❸ 从事进口属于应纳消费税产品的单位和个人。

❹ 根据1993年12月29日第八届全国人民代表大会常务委员会第五次会议通过的《全国人大常委会关于外商投资企业和外国企业适用增值税、消费税、营业税等税收暂行条例的决定》,外商投资企业和外国企业自1994年1月1日起适用国务院发布的消费税暂行条例,因而外商投资企业和外国企业也是消费税的纳税人。

(2)征税范围

消费税是以某些特定消费品为课税对象的,它的征税范围的具体选择是根据我国目前的发展状况和消费政策,人民群众的消费水平和消费结构,以及财政需要。它是对一些非生活必需品、高档消费品以及资源类的一些消费品的特殊调节,其征税范围包括在我国境内生产或进口税法列举的应税产品,即:烟、酒及酒精、化妆品、护肤护发品、贵重首饰及珠宝玉石、鞭炮焰火、汽油、柴油、汽车轮胎、摩托车、小汽车等11类产品。

(3)税目、税率

消费税的税目、税率直接关系到征税范围的大、小和税收负担的高低。税目的设置本著这样一种原则即:征税主旨明确,课税对象清晰,并兼顾到历史习惯,对税源大、界限清楚的单独设立税目。消费税共设置了11个税目、13个子目和7个细目。

消费税的税率分为比例税率和定额税率两种类型。对一些价格差异不大,计量单位规范的消费品如啤酒、汽油、柴油等,采取从量定额征税的办法,其他消费品则实行从价定率征税的办法。消费税对不同的消费品设置了14档不同的税率(税额)。

纳税人兼营不同税率的应税消费品,应当分别核算不同税率应税消费品的销售额,销售数量。未分别核算销售额、销售数量,或者将不同税率的应税消费品组成成套消费品销售的,从高适用税率。

附:消费税税目、税率(税额)表

(4)纳税环节和纳税义务发生时间

❶ 纳税环节

A.纳税人生产的应税消费品,于销售时纳税。

纳税人生产的、于销售时纳税的应税消费品,是指有偿转让应税消费品的所有权,即以从受让方取得货币、货物、劳务或其他经济利益为条件转让的应税消费品。

B.纳税人自产自用的应税消费品,用于连续生产应税消费品的,不纳税;用于其他方面的,于移送使用时纳税。

“纳税人自产自用的应税消费品、用于连续生产应税消费品的”,是指作为生产最终应税消费品的直接材料、并构成最终产品实体的应税消费品。

这里所说的“用于其他方面的”是指纳税人用于生产非应税消费品和在建工程,管理部门,非生产机构,提供劳务,以及用于馈赠、赞助、集资、广告、样品、职工福利、奖励等方面的应税消费品。在移送使用时,应该交纳消费税。

C.委托加工的应税消费品,由受托方在向委托方交货时代收代缴税款。委托加工的应税消费品,委托方用于连续生产应税消费品的,所纳税款准予按规定抵扣。

这里所说的“委托加工的应税消费品”,是指由委托方提供原料和主要材料,受托方只收取加工费和代垫部分辅助材料加工的应税消费品。对于由受托方提供原材料生产的应税消费品,或者受托方先将原材料卖给委托方,然后再接受加工的应税消费品,以及由受托方以委托方名义购进原材料生产的应税消费品,不论纳税人在财务上是否作销售处理,都不得作为委托加工应税消费品,而应当按照销售自制应税消费品缴纳消费税。

委托加工的应税消费品直接出售的,不再征收消费税。

D.进口的应税消费品,于报关进口时纳税。

❷ 消费税的纳税义务发生时间

A.纳税人销售的应税消费品,其纳税义务的发生时间为:

纳税人采取赊销和分期收款结算方式的,其纳税义务的发生时间,为销售合同规定的收款日期的当天。

纳税人采取预收货款结算方式的,其纳税义务的发生时间,为发出应税消费品的当天。

纳税人采取托收承付和委托银行收款方式销售的应税消费品,其纳税义务的发生时间,为发出应税消费品并办妥托收手续的当天。

纳税人采取其他结算方式的,其纳税义务的发生时间,为收讫销售款或者取得索取销售款的凭据的当天。

B.纳税人自产自用的应税消费品,其纳税义务的发生时间,为移送使用的当天。

C.纳税人委托加工的应税消费品,其纳税义务的发生时间,为纳税人提货的当天。

D.纳税人进口的应税消费品,其纳税义务的发生时间,为报关进口的当天。

(5)计税依据和计算

消费税实行从价定率或者从量定额的办法计算应纳税额。

❶ 实行从价定率办法计算

实行从价定率办法计算的应纳税额=销售额×税率

A.销售额为纳税人销售应税消费品向购买方收取的全部价款和价外费用。

根据税法规定,销售额中不包括应向购货方收取的增值税税款。如果纳税人应税消费品的销售额中未扣除增值税税额或者因未取得增值税专用发票而发生价款和增值税税款合并收取的,在计算消费税时,应当换算为不含增值税税款的销售额,其换算公式为:

实行从价定率办法计算应纳税额的应税消费品连同包装销售的,无论包装是否单独计价,也不论在会计上如何核算,都应并入应税消费品的销售额中征收消费税,这是对销售带包装消费品掌握计算纳税的基本原则。如果包装物不作价随同产品销售,而是收取押金,此项押金则不应并入应税消费品的销售额中征税。但对因逾期未收回的包装物不再退还的和已收取一年以上的押金,应并入应税消费品的销售额,按照应税消费品的适用税率征收消费税。对既作价随同应税消费品销售,又另外收取押金的包装物的押金,凡纳税人在规定的期限内不予退还的,都应并入应税消费品的销售额,按照应税消费品的适用税率征收消费税。

价外费用是指价外收取的基金、集资费、返还利润、补贴、违约金(延期付款利息)和手续费、包装费、储备费、优质费、运输装卸费、代收款项、代垫款项以及其它各种性质的价外收费。但下列款项不包括在内,即:承运部门的运费发票开具给购货方的;纳税人将该项发票转交给购货方的。其他价外费用,无论是否属于纳税人的收入,都应并入销售额,计算征税。

另外,下列应税消费品可以销售额扣除外购已税消费品买价后的余额作为计税价格计征消费税;

外购已税烟丝生产的卷烟;

外购已税酒和酒精生产的酒(包括以外购已税白酒加浆降度,用外购已税的不同品种的白酒勾兑的白酒,用曲香、香精对外购已税白酒进行调香、调味以及外购散装白酒装瓶出售等等);

外购已税化妆品生产的化妆品;

外购已税护肤护发品生产的护肤护发品;

外购已税珠宝玉石生产的贵重首饰及珠宝玉石;

外购已税鞭炮焰火生产的鞭炮焰火。

这里的“外购已税消费品的买价”,是指购货发票上注明的销售额(不包括增值税税款)。

纳税人通过自设非独立核算门市部销售的自产应税消费品,应当按照门市部对外销售额或者销售数量征收消费税。

纳税人用于换取生产资料和消费资料,投资入股和抵偿债务等方面的应税消费品,应当以纳税人同类应税消费品的最高销售价格作为计税依据计算消费税。

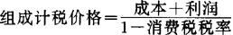
B.纳税人自产自用的应税消费品,用于连续生产应税消费品的不纳税,用于其他方面的即:用于生产非应税消费品和在建工程、管理部门、非生产机构、提供劳务以及用于馈赠、赞助、集资、广告、样品、职工福利、奖励等方面的应税消费品应当纳税,按照纳税人生产的同类消费品的销售价格计算纳税;没有同类消费品销售价格的,按照组成计税价格计算纳税,组成计税价格计算公式:

同类消费品的销售价格,是指纳税人或代收代缴义务人当月销售的同类消费品的销售价格,如果当月同类消费品各期销售价格高低不同,应按销售数量加权平均计算。但销售的应税消费品有下列情况之一的,不得列入加权平均计算:

a.销售价格明显偏低又无正当理由的。

b.无销售价格的。

如果当月无销售或者当月未完结,应按照同类消费品上月或最近月份的价格计算纳税。

成本,是指应税消费品的产品生产成本。

利润,是指根据应税消费品的全国平均成本利润率计算的利润。应税消费品全国平均成本利润率由国家税务总局确定。具体规定如下:甲类卷烟,10%;乙类卷烟,5%;雪茄烟,5%;烟丝,5%;粮食白酒,10%;薯类白酒,5%;其他酒,5%;酒精,5%;化妆品,5%;护肤护发品,5%;鞭炮,焰火,5%;贵重首饰及珠宝玉石,6%;汽车轮胎,5%;摩托车,6%;小轿车,8%;越野车,6%;小客车,5%。

纳税人自产自用的卷烟应当按照纳税人生产的同牌号规格的卷烟销售价格确定征税类别和适用税率。没有同牌号规格卷烟销售价格的,一律按照甲类卷烟税率征税。

卷烟由于接装过滤嘴、改变包装或其他原因提高销售价格后,应按照新的销售价格确定征税类别和适用税率。

残次品卷烟应当按照同牌号规格正品卷烟的征税类别确定适用税率。

下列卷烟不分征税类别一律按照甲类卷烟税率征税即:进口卷烟;白包卷烟;手工卷烟;未经国务院批准纳入计划的企业和个人生产的卷烟。

C.委托加工的应税消费品,按照受托方的同类消费品的销售价格计算纳税;没有同类消费品销售价格的,按照组成计税价格计算纳税,组成计税价格计算公式:

材料成本,是指委托方所提供加工材料的实际成本。委托加工应税消费品的纳税人,必须在委托加工合同上如实注明(或以其他方式提供)材料成本,凡未提供材料成本的,受托方所在地主管税务机关有权核定其材料成本。

加工费,是指受托方加工应税消费品向委托方所收取的全部费用(包括代垫辅助材料的实际成本)。

下列已税消费品准予从应纳消费税税额中扣除原材料已纳消费税税款:

a.以委托加工收回的已税烟丝为原料生产的卷烟;

b.以委托加工收回的已税酒和酒精为原料生产的酒;

c.以委托加工收回的已税化妆品为原料生产的化妆品;

d.以委托加工收回的已税护肤护发品为原料生产的护肤护发品;

e.以委托加工收回的已税珠宝玉石为原料生产的贵重首饰及珠宝玉石;

f.以委托加工收回已税鞭炮、焰火为原料生产的鞭炮、焰火。

已纳消费税税款是指委托加工的应税消费品由受托方代收代缴的消费税。

委托加工的卷烟按照受托方同牌号规格卷烟的征税类别和适用税率征税。没有同牌号规格卷烟的,一律按照甲类卷烟的税率征税。

D.进口的应税消费品,实行从价定率办法计算应纳税额的,按照组成计税价格计算纳税。组成计税价格计算公式:

关税完税价格,是指海关核定的关税计税价格。

纳税人应税消费品的计税价格明显偏低又无正当理由的,由主管税务机关核定其计税价格。应税消费品计税价格的核定权限规定如下:

甲类卷烟和粮食白酒的计税价格由国家税务总局核定。

其他应税消费品的计税价格由国家税务总局所属税务分局核定。

进口的应税消费品的计税价格由海关核定。

实行从量定额办法计算

实行从量定额办法计算的应纳税额=销售数量×单位税额

销售数量,是指应税消费品的数量,具体为:

销售应税消费品的,为应税消费品的销售数量;

自产自用应税消费品的,为应税消费品的移送使用数量;

委托加工应税消费品的,为纳税人收回的应税消费品数量;

进口的应税消费品,为海关核定的应税消费品进口征税数量。

实行从量定额办法计算应纳税额的应税消费品,计量单位的换算标准如下:

啤酒:1吨=988升

黄酒:1吨=962升

汽油:1吨=1,388升

柴油:1吨=1,176升

根据税法规定,纳税人销售的应税消费品,以外汇结算销售额的,应当按外汇市场价格折合成人民币计算应纳税额,其销售额的人民币折合率可以选择结算的当天或者当月1日的国家外汇牌价(原则上为中间价)。纳税人应在事先确定采取何种折合率,确定后一年内不得变更。

纳税人销售的应税消费品,如因质量等原因由购买者退回时,经所在地主管税务机关审核批准后,可退还已征收的消费税税款。

(6)纳税地点

纳税人销售的应税消费品,以及自产自用的应税消费品,除国家另有规定外,应当向纳税人核算地主管税务机关申报纳税。委托加工的应税消费品,由受托方向所在地主管税务机关解缴消费税税款。进口的应税消费品,由进口人或者其代理人向报关地海关申报纳税。

如果纳税人到外县(市)销售或委托外县(市)代销自产应税消费品的,于应税消费品销售后,回纳税人核算地或所在地缴纳消费税。

纳税人的总机构与分支机构不在同一县(市)的,应在生产应税消费品的分支机构所在地缴纳消费税。但经国家税务总局及所属税务分局批准,纳税人分支机构应纳消费税税款也可由总机构汇总向总机构所在地主管税务机关缴纳。具体为:对纳税人的总机构与分支机构不在同一省(自治区、直辖市)的,如需改由总机构汇总在总机构所在地纳税的,需经国家税务总局批准;对纳税人的总机构与分支机构在同一省(自治区、直辖市)内,而不在同一县(市)的,如需改由总机构汇总在总机构所在地纳税的,需经国家税务总局所属分局批准。

消费税由税务机关征收,进口的应税消费品的消费税由海关代征。个人携带或者邮寄进境的应税消费品的消费税,连同关税一并计征。具体办法由国务院关税税则委员会会同有关部门制定。

(7)纳税期限和报缴税款的办法

❶ 纳税期限

消费税的纳税期限分别为1日、3日、5日、10日、15日或者1个月。纳税人的具体纳税期限,由主管税务机关根据纳税人应纳税额的大小分别核定,不能按照固定期限纳税的,可以按次纳税。

纳税人以1个月为一期纳税的,自期满之日起十日内申报纳税;以1日、3日、5日、10日或者15日为一期纳税的,自期满之日起5日内预缴税款,于次月1日起10日内申报纳税并结清上月应纳税款。

纳税人进口应税消费品,应当自海关填发税款缴纳证的次日起七日内缴纳税款。

❷ 报缴税款的办法

纳税人报缴税款的办法,由所在地主管税务机关视不同情况,在下列办法中核定一种:

A.纳税人按期向税务机关填报纳税申报表,并填开纳税缴款书,向所在地代理金库的银行缴纳税款。

B.纳税人按期向税务机关填报纳税申报表,由税务机关审核后填发缴款书,按期缴纳。

C.对会计核算不健全的小型业户,税务机关可根据其产销情况,按季或按年核定其应纳税额,分月缴纳。

(8)减税、免税

消费税是对商品和劳务课征的一种税,属于间接税范畴,其税金基本上最终由消费者负担。由于消费税选择征收的消费品一般为非生活必需品,应税消费品的购买者一般都具有较高的消费水平,也有能力来负担应税消费品的消费税,所以消费税是由有相应消费能力的消费者负担的一种税。如果没有相应的负担能力,也就不会发生应税消费品的消费行为。因此,国家不会给予减税、免税的优惠来满足这种消费需求。为了公平税负,保证国家的财政收入,充分发挥消费税调节社会特殊消费的作用,除了下列这些项目外,对应税消费品一律不得减税、免税。

第一,对纳税人出口应税消费品,免征消费税;国家限制出口的应税消费品除外。出口应税消费品的免征办法,由国家税务总局规定。

出口的应税消费品办理退税后,发生退关,或者国外退货进口时予以免税的,报关出口者必须及时向其所在地主管税务机关申报补缴已退的消费税税款。

纳税人直接出口的应税消费品办理免税后,发生退关或国外退货,进口时已予以免税的,经所在地主管税务机关批准,可暂不办理补税,待其转为国内销售时,再向其主管税务机关申报补缴消费税。

第二,根据1993年12月29日第八届全国人民代表大会常务委员会第五次会议通过的《全国人大常委会关于对外商投资企业和外国投资企业和外国企业适用增值税、消费税、营业税等税收暂行条例》的决定,在有关税收法律制定以前,外商投资企业和外国企业自1994年1月1日起适用国务院发布的增值税暂行条例、消费税暂行条例和营业税暂行条例。1993年12月31日前已批准设立的外商投资企业,由于按规定改征增值税、消费税、营业税而增加的税负,经企业申请,税务机关批准,在已批准的经营期限内,最长不超过5年,退还其因税负增加而多缴纳的税款;没有经营期限的,经企业申请,税务机关批准,在最长不超过五年的期限内,退还其因税负增加而多缴纳的税款。具体办法由国务院规定。

随便看

 

离鸟网收录3541549条中英文词条,其功能与新华字典、现代汉语词典、牛津高阶英汉词典等各类中英文词典类似,基本涵盖了全部常用中英文字词句的读音、释义及用法,是语言学习和写作的有利工具。

 

Copyright © 2004-2024 vtrois.com All Rights Reserved
更新时间:2026/4/18 15:19:15