网站首页  词典首页


请输入您要查询的字词:

 

字词 海藻糖
类别 中英文字词句释义及详细解析
释义 海藻糖

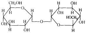
两分子D-吡喃葡萄糖的异头碳原子(C1)上的半缩醛羟基之间去水缩合而成的非还原性双糖。

分三种:α,α-海藻糖、α,β-海藻糖和β,β-海藻糖。第一种最常见,后二种极少见。α,α-海藻糖的化学结构式如下。作为贮存性糖广泛存在于生物界。

在昆虫、无脊椎动物、酵母、真菌、藻类、蕨类以及高等植物中均发现其存在。是卷柏属植物光合产物的一种运输形式。

随便看

 

离鸟网收录3541549条中英文词条,其功能与新华字典、现代汉语词典、牛津高阶英汉词典等各类中英文词典类似,基本涵盖了全部常用中英文字词句的读音、释义及用法,是语言学习和写作的有利工具。

 

Copyright © 2004-2024 vtrois.com All Rights Reserved
更新时间:2026/4/19 12:25:26