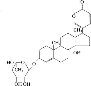
海葱次甙
C30H42O8=530.66 CAS-466-06-8 [(6-脱氧-α-L-甘露吡喃糖基)氧]-14-羟蟾蜍-4,20,22-三烯交酯。 [(6-Deoxy-α-L-mannopyranosyl)oxy]-14-hydroxybufa-4,20,22-trienolide. 强心药。用于治疗各种心力衰竭疾病。 海葱次甙甲。 Proscillaridin,Tradenal,A-32686,Caradrin,Cartol,Proscillan,Sandoscill,Sotestril,Stellarid,Talucard. INN,BAN,DCIT,GDP,JAN,NFN,USAN,MI.  |