海特溴铵
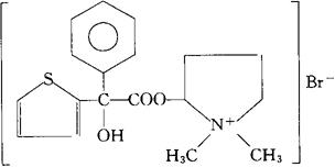
C18H22BrNO3S=412.34 CAS-7247-57-6 3-[(羟苯基-2-噻吩基乙酰基)氧]-1,1-二甲基-,吡咯烷鎓,溴化物。 Pyrrolidinium,3-[(hydroxyphenyl-2-thienylacetyl)oxy]-1,1-dimethyl-,bromide. (±)-3-羟-1,1-二甲基溴化吡咯烷鎓α-苯基-2-噻吩甘醇酸盐。 (±)-3-Hydroxy-1,1-dimethylpyrrolidinium bromide α-phenyl-2-thiopheneglycolate. α+β-(±)-(1-甲基-3-吡咯烷基)-α-苯基-α-(2-噻吩基)甘醇酸酯甲溴化物。 α+β-(±)-(1-Methyl-3-pyrrolidinyl)-α-phenyl-α-(2-thienyl)glycolate methobromide. 抗胆碱药。 Heteronium Bromide,Lilly 31814. INN,BAN,USAN.  |