网站首页  词典首页


请输入您要查询的字词:

 

字词 海洋碳循环模式
类别 中英文字词句释义及详细解析
释义 海洋碳循环模式

研究碳循环问题的主要方法之一,是建立碳循环过程的数学模型,这种模型就是碳循环“模式”。

利用它不仅可以模拟工业革命前各主要碳库的平衡状态,而且在利用某些特殊的观测资料进行校正之后还可用于预测未来大气CO2的变化。国外碳循环模式已经从最初的只用经验关系描写主要碳库之间的交换过程的“箱”模式,发展出包含动力学过程和初步的化学和生物过程在内的三维模式。碳循环模式所涉及的过程比气候模式复杂,因此应当继续发展。

最有代表性的简单碳循环模式,是Oescher等于1975年提出的“箱”扩散模型,该模式主要考虑大气和海洋两个碳库之间的相互作用,而将陆地生物群对大气CO2含量变化的负反馈作用用简单的参数化公式来表示。

大气和海洋混合层中的碳被假定为充分混合的,其平衡值和受扰值分别由Na,Nm和na(t),nm(t)表示,深海中的碳量有垂直方向是不均匀的,其平衡值和受扰值分别由Cd(Z)和cd(Z,t)表示,大气和海洋混合层之间的碳交换系数Kam,Kma以及抑制海水对碳的吸收的缓冲因子ξ来控制,而由混合层进入深海的碳则服从一个垂直扩散方程,扩散系数为K。控制陆地生物群作用的参数是生物增长因子ε和迟滞时间尺度τ。

所有这些参数均是可调节的以便对模式进行“校正”,校正的方法是使得模拟的工业化前大气和海洋中C14的分布和观测结果一致。

在对模式中全部可调参数进行校正之后,利用该模式模拟了由于燃料化石引起的大气CO2的增加,假定1860年大气CO2浓度是292μl/L,到1970年人为增加的总CO2是55μl/L,模拟结果表明其中有54%存留在大气中,使得大气CO2浓度达到322μl/L,而陆地生物群、海洋混合层和深海吸收的碳量分别占总增加量的12%、5%和29%。

由此可以得出,对于人类活动引起的CO2增加来说,海洋(尤其是深海)似乎是比陆地生物群更重要的汇。应当指出,“箱”扩散模式是一种高度参数化的模式,尽管利用14C的观测资料可以对模式进行“校正”,但模式对某些参数的敏感性仍可使其结果不确定,例如,Oeschger等人的模式模拟的陆地生物群与海洋吸收的碳量之比是正比于生物增长因子ε的,即

而生物增长因子ε是一个很不确定的参数。

“箱”扩散模式是一类很有用的概念模式,但它所能描写的只是各主要碳库之问整体上的交换关系,而且其中可调参数太多,原始过程太少,因此需要发展包含较详尽过程的三维碳循环模式。

1987年,前联邦德国Max-Planek气象研究所的MaierReimer和Hasselmann提出了一个基于大洋环流模式的三维碳循环模式,用以研究海洋中CO2的输运和储存问题。

这模式只考虑大气和海洋两个碳库之间的相互交换,略去了陆地生物群的作用,其中大气中的CO2假定是充分混合的(至多只考虑由扩散过程控制的沿子午方向的不均匀性),而在模式海洋中则考虑了三维定常流场对总无机碳的输运作用,以及海洋混合层中CO2转化为总无机碳的化学平衡过程。

从海洋进入大气的CO2通量是由海洋混合层CO2分压和大气CO2分压之差按bulk参数化公式给出的,不过没有考虑风的影响。

在混合层内,一部分CO2溶解于水,决定了CO2在海水中的浓度,由于溶解度与温度有关,热带地区海温高、溶解度低,因而CO2分压较高,高纬地区则相反。所以,对大气而言,热带海洋是CO2的源,而高纬海洋则是汇。

实际上,水相CO2不仅以中性的CO2(或碳酸)的形式存在,而且以带电荷的碳酸氢根(HCO3)和碳酸根(CO32-)的形式存在,它们的浓度之和构成了海洋中的总无机碳,即

这3种与碳有关的成分的浓度必须由包括水、CO2、硼以及氮、磷等在内的化学平衡来决定,在无机碳循环模式中,不考虑与营养物有关的氮、磷等成分,可以得出

其中h≡[H+]是表征酸度的氢离子浓度;s≡[CO2]是水相CO2浓度;K1,K2等是化学平衡系数,再借助于碱度方程可以推出

这表明,化学平衡的结果使得海水中总无机碳的增加小于水相CO2浓度的增加,即海水的化学性质控制著海洋中总溶解的无机碳量的变化,这称为“缓冲”作用。

在混合层及其以下的整个海洋中,总无机碳被海洋环流所输送,这包括三维的平流过程和高纬度海洋中对流所引起的垂直混合过程,这些动力学参量都是由大洋环流模式模拟的定常环流给出的。

1990年,美国Scripps海洋研究所的Bacastow和前联邦德国Max-Planck气象研究所的Maier-Remer进一步发展了上述无机碳循环模式,以非常简单的参数化方式考虑了海洋生物群在碳循环过程中的作用。

为了加进生物过程,在海洋混合层的化学平衡中不仅要包括总无机碳和碱度,还要包括作为营养物的磷酸盐和溶解的氧,在一定的营养物条件下,海洋混合层中的浮游植物通过光合作用和呼吸作用参与碳循环过程,其中的一小部分形成大颗粒的有机物向下沉降,称为“新生命力”。

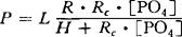
这种大颗粒有机物的下沉速度很快,以致于海流对它的影响可以忽略,它们在下沉过程中又不断地分解为无机碳,从而提供了一种沿垂直方向向下输送碳的生物学机制,称为“生物泵”。在Bacastow等的模式中所考虑的正是这种“生物泵”作用,而不是生物过程本身,他们假定混合层中由于大颗粒有机物沉降而减少的碳量正比于“新生产力”的生成速率P,而后者则由入射光因子L和磷酸盐浓度PO4来决定,即

其中R0是有机物合成或分解过程中的碳磷化(称为Refield比),R和H是可调参数,大颗粒有机物在其下沉过程中分解的量由一组与水深有关的“矿化”系数和在该水深处溶解氧的浓度来决定,此外还假定到达海底后剩余的有机物再返还至混合层。

尽管这种在海洋碳循环模式中加入“生物泵”的作法只是一种简单的参数化方法,但却明显地改进了无机碳循环模式的某些不足。利用该模式还作了一个有趣的敏感性试验:在模式达到平衡态以后突然将海洋环流的强度减小40%,再积分到一个新的平衡态,结果发现大气CO2浓度下降了39μl/L。

而如果去掉生物泵,则大气中CO2浓度下降21μl/L。这是因为当环流突然减弱时,由化学平衡和生物泵所控制的无机碳由海表向深海输送的过程尚来不及减弱,以致海表损失的碳量必须由大气中的CO2来补充,因为有证据表明,北大西洋的深水形成在末次冰期时代就曾经减弱过。

(中国科学院大气物理研究所刘瑞芝、张学洪撰)

随便看

 

离鸟网收录3541549条中英文词条,其功能与新华字典、现代汉语词典、牛津高阶英汉词典等各类中英文词典类似,基本涵盖了全部常用中英文字词句的读音、释义及用法,是语言学习和写作的有利工具。

 

Copyright © 2004-2024 vtrois.com All Rights Reserved
更新时间:2026/4/20 17:00:39