海水电容率
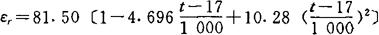
电容率(介电常数)一般用符号ε表示。 ε=εr·εo。其中,εo=107/4πc2=8.854×10-12法/米,为真空电容率;c为光速;εr为相对电容率(相对介电常数)。εr=C/C0,其中C为有电介质时的电容;C0为没有电介质(真空)时的电容。 Dorsey由实验数据得出低频下海水的相对电容率εr的经验公式:  当压力比一个大气压大时,每增加1000千克/厘米2,εr约增加5%。 Dorsey还参照相对电容率的理论公式形式,综合实验数据,给出另一个经验公式:  其中,ρ为海水的密度;T为海水的绝对温度。此公式仅适用于低频电场,对高频还要加上频率改正。 |