网站首页  词典首页


请输入您要查询的字词:

 

字词 海水状态方程
类别 中英文字词句释义及详细解析
释义 海水状态方程

描述海水状态参数之间关系的方程式。

最常用的是表达海水的现场密度ρsTp(或现场比容αsTp)同温度(T)、盐度(S)和压力(p)之间关系的经验公式。海洋学中使用的海水状态方程种类很多,现在国际上推广使用的是F.J.Milero等人提出的UNESCO高压海水状态方程式

式中,ρsT0为在一个标准大气压(p=0)下的海水密度;K0为大气压下的正割体积弹性模量;ρsT0、K0与系数A和B同为温度和盐度的函数,可由专用表查得。

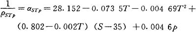
该式的适用范围为:温度-2-40℃,盐度0-42,压力0-100兆帕。为了便于在建立海洋流体动力学的理论模式中使用,常以简化的海水状态方程代之,如O.И.MaMaeφ提出的

随便看

 

离鸟网收录3541549条中英文词条,其功能与新华字典、现代汉语词典、牛津高阶英汉词典等各类中英文词典类似,基本涵盖了全部常用中英文字词句的读音、释义及用法,是语言学习和写作的有利工具。

 

Copyright © 2004-2024 vtrois.com All Rights Reserved
更新时间:2026/4/19 6:32:59