网站首页  词典首页


请输入您要查询的字词:

 

字词 海底混响
类别 中英文字词句释义及详细解析
释义 海底混响

由于海底的不平整性和底质的非均匀性而产生的声散射在接收换能器处的迭加效应。

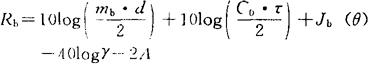
因为从声源到海底有相当距离,所以海底混响在声脉冲发出后,隔一定时间才开始突然升起。海底混响满足如下方程:

式中,Jb(θ)是换能器的海底混响指数;2A是沿声线的往返衰减值。

这里假设海底的散射系数mb和掠射角的正弦成比例(掠射角是入射角的余角):

mb=mbsinθ

式中,d为散射体的尺寸;Cij为声速;τ为发射的声脉冲宽度:γ是散射体的距离。

海底混响是影响声纳系统工作的主要干扰之一。

随便看

 

离鸟网收录3541549条中英文词条,其功能与新华字典、现代汉语词典、牛津高阶英汉词典等各类中英文词典类似,基本涵盖了全部常用中英文字词句的读音、释义及用法,是语言学习和写作的有利工具。

 

Copyright © 2004-2024 vtrois.com All Rights Reserved
更新时间:2026/4/18 8:02:13