网站首页  词典首页


请输入您要查询的字词:

 

字词 海南冬青
类别 中英文字词句释义及详细解析
释义 海南冬青

【名称出处】:《新华本草纲要》

【概况】:

异名 山绿豆(《新华本草纲要》)。

基源 为冬青科冬青属植物海南冬青的叶。

原植物 海南冬青Ilex hainanensis Merr.

形态 常绿灌木或小乔木,高2~10m,小枝具棱,横切面为方形,无毛或被微毛。

叶柄长5~8mm,上面有沟槽,沟槽内被毛,叶片厚纸质或薄革质,互生,椭圆形或倒卵形至倒卵形状长圆形,长3~7cm,宽1.5~3cm,顶端渐尖或骤然短渐尖,基部楔形,全缘,稀在近顶端有1~2个小锯齿,叶脉羽状,侧脉每边3~5条,在两面均明显,中脉在上面凹下,被毛。

花单性,雌雄异株,5~6基数;花序簇生或呈假圆锥花序,著生于二年生或当年生枝的叶腋;雄花序每一分枝有花1~5朵,花序梗长1~3mm;雌花序每一分枝有花1~3朵,花序长1~3mm。

浆果状核果近圆球形至椭圆形,长约4mm,直径约3mm,成熟时红色,宿存柱头厚盘状;分核6,稀为5。椭圆形,长约3mm,宽约1mm。

内果皮木质。 花期4~5月,果期7~10月。(图见《中国高等植物图鉴》.补编.第2册.218页.图8800)

生境与分布 生于海拔150~800m的山坡山谷疏密林中或山丛中。

分布于广东、海南、广西。。【化学】:

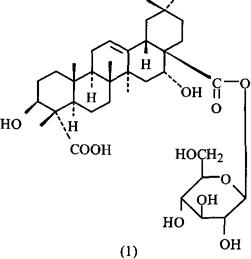
含芦丁和一个新的△12-齐墩果烷型的三萜酯甙海南冬青甙(Hainanenside)(1),其甙元的结构为齐墩果-12-烯-23α,28β-二酸3β,16α-二羟基(Olean-12-en-23α,28β-dioic acid 3β,16α-dihydroxy)。

参考文献 药学学报 1984;19(9):691

【药性】:

主治 《新华本草纲要》:“叶(山绿茶):治高血压,口腔炎,疖肿,慢性喉炎和妇科附件炎。”

【临床应用】:

方选和验方 ❶ 中草药 1985;(1):“治高血压:海南冬青乙醇提取物。”
❷ 药学学报 1984;(9):“为广西民间药山绿茶的主流品种之一,能防治高血压症,降血脂,降胆固醇,口腔炎,疖肿,慢性喉炎,妇科附件炎等症。”

随便看

 

离鸟网收录3541549条中英文词条,其功能与新华字典、现代汉语词典、牛津高阶英汉词典等各类中英文词典类似,基本涵盖了全部常用中英文字词句的读音、释义及用法,是语言学习和写作的有利工具。

 

Copyright © 2004-2024 vtrois.com All Rights Reserved
更新时间:2026/4/18 10:07:35