网站首页  词典首页


请输入您要查询的字词:

 

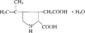
字词 海人草酸
类别 中英文字词句释义及详细解析
释义 海人草酸

C10H15NO4·H2O=231.25

CAS-487-79-6

2-羟基-4-异丙烯基-3-吡咯烷乙酸。

2-Carboxy-4-isopropenyl-3-pyrrolidineacetic acid.

3-羧甲基-4-丙烯基脯氨酸。

3-Carboxymethyl-4-propenylproline.

驱虫药。

卡英酸。

Kainic Acid,Digenic Acid,LS-Xylo-Kainic Acid,

Digenin,Helminal.

INN,JP,NFN,USAN,MI.

随便看

 

离鸟网收录3541549条中英文词条,其功能与新华字典、现代汉语词典、牛津高阶英汉词典等各类中英文词典类似,基本涵盖了全部常用中英文字词句的读音、释义及用法,是语言学习和写作的有利工具。

 

Copyright © 2004-2024 vtrois.com All Rights Reserved
更新时间:2026/4/18 7:11:12