测量电子电荷的密里根方法
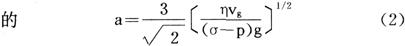
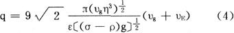
密里根于1911年首先用油滴实验测定了电子电荷,该实验的基本方法是,让小油滴(例如由喷雾器形成)在水平放置的平行板电容器的两水平极板之间作铅垂方向的运动,此中的空气可因受到X射线的照射而发生电离,这样使油滴带上电荷q。 当极板上不施加电压时,小油滴在重力、空气浮力及粘滞阻力的作用下最后以匀速vg下降,此时按斯托克斯定律应有  式中m及a分别是油滴的质量及半径,ρ和η是空气的质量密度及粘滞系数,由此可得不能直接测量  式中σ是油的质量密度。若在极板上施加电压V(从而在极板之间有均匀的电场强度ε)使油滴向上运动,设最后的匀速为VE,则此时有  (1)式与(3)式相加后得  (2)式代入(4)得  前已述及,用X射线照射来改变q,在不同的q下所作实验测定表明各种q只能为某一基本单元的整数倍,该基本单元就是电子电荷。 径。若测得第k个亮环的半径为rk,第k+m个亮环的半径为rk+m,则曲率半径为  以上式中λ0为照射光的波长 |