浆板及浆块销售重量的测定计算
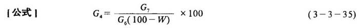
[说明]浆板及浆块销售重量的测定计算索引见表3-3-3。 表3-3-3 浆板及浆块销售重量的测定计算   浆板(浆块)收货量短缺或盈余的百分率计算 (一)盈余百分率的计算  式中 △G-盈余量(t) G-发货重量(t)(以风干计) (二)短缺百分率的计算  式中 △G′-短缺量(t) (三)盈余(或短缺)量的计算  式中 G1-实际风干浆重(t) G-发货风干重量(t) +、一-分别表示盈余和短缺 (四)实际风干量的计算  式中 G3-每件浆样品的风干浆量(kg) m-浆板总件数(件) (五)每件浆板样品风干浆量计算  式中 G4-测定水分浆样的风干浆含量(%) G5-抽样件数重量(kg) m-抽样件数 (六)测定水分浆样的风干浆含量计算  式中 G6-测定水分的浆样湿重(g) G7-测定水分的绝干浆重(g) (七)计算实例 [例]某厂收到一批浆板共4040件(m),发货重量为390.00t(以风干浆计)(G);抽样84件(m1),其重量为13660kg(G5);测定水分的浆样湿重为8075g(G6),绝干重4365g(G7)。计算这批浆板短缺或盈余百分率(风干浆水分含量以10%计)。 解:测定水分浆样的风干浆含量:  每件浆板样品的风干浆重:  这批浆板实际的风干浆量  |