网站首页  词典首页


请输入您要查询的字词:

 

字词 浆料滤水阻力的测试计算
类别 中英文字词句释义及详细解析
释义 浆料滤水阻力的测试计算

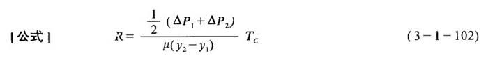
[说明]在恒定的试验条件下,滤水阻力与打过浆的浆料纤维的比表面积成正比。滤水阻力通常应用校正的滤水时间TC作计算的基数。滤水时间是在标准条件下,在纸页成型器内从浆料中滤出水所需要的时间。测定温度控制在20℃。英国的Campbell研制的电子计时设备在北美及欧洲市场上已作为专利测试仪器销售。

式中 R-滤水阻力

△P1-△P2-滤水从开始到终了时透过纸页成形的压力降

y2-y1-在测试中水平面下降的距离

μ-试验温度下水的粘度

Tc-对纸页成形器的滤水阻力校正后的滤水时间

T-测量的滤水时间

Tw-只用水测量的滤水时间

随便看

 

离鸟网收录3541549条中英文词条,其功能与新华字典、现代汉语词典、牛津高阶英汉词典等各类中英文词典类似,基本涵盖了全部常用中英文字词句的读音、释义及用法,是语言学习和写作的有利工具。

 

Copyright © 2004-2024 vtrois.com All Rights Reserved
更新时间:2026/4/18 3:25:39