网站首页  词典首页


请输入您要查询的字词:

 

字词 流过锥阀的流量系数
类别 中英文字词句释义及详细解析
释义 流过锥阀的流量系数

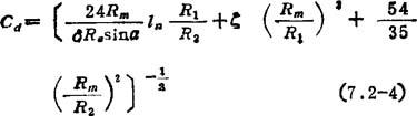
锥阀的结构参数见图7.2-3。流过锥阀的流量系数为Cd,求出Cd后代入式7.2-3即可求出流过锥阀的流量。

式中 Rm=(R1+R2)/2,为平均半径(m);Re=vmδ/v,为雷诺数;vm为平均半径处的平均流速;v为油的运动粘度(m2/s),详见第三章;δ为间隙,如图7.2-3所示;ξ为附加压力损失系数,当δ/R1=10~150时,ξ=0.13±0.008v1δ/v;v1为R1处的平均流速,当(v1δ/v)(δ/R1)>30时,ξ=0.18。

随便看

 

离鸟网收录3541549条中英文词条,其功能与新华字典、现代汉语词典、牛津高阶英汉词典等各类中英文词典类似,基本涵盖了全部常用中英文字词句的读音、释义及用法,是语言学习和写作的有利工具。

 

Copyright © 2004-2024 vtrois.com All Rights Reserved
更新时间:2026/4/18 2:21:59