网站首页  词典首页


请输入您要查询的字词:

 

字词 流动资金需要量预测的方法
类别 中英文字词句释义及详细解析
释义 流动资金需要量预测的方法

流动资金需要量预测,是根据企业生产发展水平和加速流动资金周转的要求,对未来一定时期流动资金需要量进行的预计和测算。科学地进行流动资金需要量预测,是正确编制流动资金计划的重要依据,对保证生产发展对流动资金的需要,组织供产销平衡,合理、节约、有效地使用资金,提高流动资金使用效益具有重要的意义。流动资金需要量预测,包括企业全部流动资金需要量预测和流动资金定额预测两个方面。

1.全部流动资金需要量预测的方法

(1)比例预测法。这是根据流动资金与有关因素之间的比例关系预测流动资金的一种方法。一般用产值流动资金率和销售收入流动资金率进行预测。计算公式是

平均供应间隔日数=180×60%+90×40%=144(天)

定额日数=8.4+2+1+144×80%+15=141.6(天)

=8,800×141.6=1,246,080(元)

(2)生产资金定额的测定

生产资金是指从原材料投产起到产品完工入库止的生产过程中所占用的流动资金。生产资金包括在产品、自制半成品和待摊费用三项资金。其中在产品和自制半成品资金(统称在产品资金)定额测定的方法是:

其中,产品生产周期,指产品从投料到完工入库经历的时间;在产品成本系数,是指在产品平均成本占完工成本的比例。由于产品成本是在生产周期中逐渐发生和累积的,因此在测定在产品资金定额时不能按产品完工成本计算,而必须按在产品平均成本计算。单位产品完工成本乘以在产品成本系数,即为单位产品在产品平均成本。

按上述原材料资金定额测定的举例,补充资料如下:

甲乙产品的生产周期,单位成本资料如下表:

甲产品的材料在生产周期中分三批投入,第1天投入2000元,第11天和第21天各投入1000元;工资和其他费用在生产过程中陆续均匀发生。

乙产品在生产周期中,从第1天到第8天单位产品每天预计发生的生产费用分别为800元、640元、480元、160元、480元、320元、160元、160元。

根据以上资料,对甲乙产品在产品资金定额分别测定如下:

甲产品的材料由于分批投入,各批在生产过程中占用的时间长短不同,因此应按各批投入的时间计算材料的平均成本再计算在产品成本系数。

乙产品生产周期较短,可以预计每日发生的生产费用,其在产品中成本系数按下列方法计算:

乙产品生产周期中逐日发生生产费用累计如下表:

逐日生产费用累计

(3)成品资金定额的测定。

成品资金是指从产品完工验收入库到销售取得货款或结算借款这一过程中占用的流动资金。成品资金包括产成品和外购商品两部分。其中产成品资金定额测定的方法是:

公式中产成品资金定额日数由产成品储备日数、发运日数和结算日数构成。

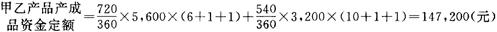
例如,上例中甲乙产品的储备日数分别为6天和10天,发运和结算日数均各为1天,则:

随便看

 

离鸟网收录3541549条中英文词条,其功能与新华字典、现代汉语词典、牛津高阶英汉词典等各类中英文词典类似,基本涵盖了全部常用中英文字词句的读音、释义及用法,是语言学习和写作的有利工具。

 

Copyright © 2004-2024 vtrois.com All Rights Reserved
更新时间:2026/4/18 23:09:28