网站首页  词典首页


请输入您要查询的字词:

 

字词 洛美沙星
类别 中英文字词句释义及详细解析
释义 洛美沙星

【别名】:盐酸洛美沙星、罗氟哌酸

作用

(1)本药为喹诺酮新药,使用方便。抗菌谱类似氧氟沙星,包括葡萄球菌、柠檬酸杆菌、阴沟肠杆菌、大肠杆菌、流感嗜血杆菌、肺炎克雷伯菌、卡他球菌、奇异变形杆菌及绿脓杆菌(泌尿道感染有效)。

(2)对革兰阴性杆菌有体外抗菌作用,如沙雷菌、军团菌等。

(3)口服吸收好,t1/2约为8h。组织分布广。食物对其无影响。以原形从尿中排出。

用途

(1)敏感菌所致的下呼吸道、泌尿道感染、胆道及肠道感染。

(2)对链球菌、肺炎双球菌、洋葱假单胞菌、支原体和厌氧菌无效。

(3)对志贺菌、淋病及多种病原菌皮肤和软组织感染有效。

用法和用量

(1)口服:每次400mg,qd,10-14d为1疗程。用于呼吸道感染、慢性支气管炎。

(2)手术感染的预防:手术前2-6h,口服400mg。

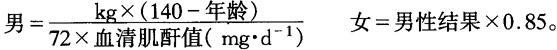
(3)肾功能不足病人:按血清肌酐值依下式计算:

(4)泌尿道感染:400mg,qd,治疗有并发症的尿道感染,4周后治愈率94%;治疗有并发症的和复发性尿路感染,400mg,qd,治疗10-14d,疗效相当于500mg环丙沙星1日1次疗效。

(5)肠道感染:600mg·d-1,分4次口服,连服4d,有效率92.8%;对菌痢的有效率97%。

(6)志贺菌感染、淋病等感染:均同呼吸道或肠道感染。

剂型与规格 片剂(薄膜衣片):400mg。胶囊剂:100mg。

注意事项

(1)孕妇、授乳妇、<18岁及儿童用药安全性尚未定。对喹诺酮类过敏者禁用。

(2)毒副作用极小,不良反应以恶心(3.7%)、头痛(3.3%)、光敏(2.4%)、眩晕(2.4%)、腹泻(1.4%)为多见;<1%发生率的不良反应有口干、潮红、多汗、疲乏。其他参见诺氟沙星。

随便看

 

离鸟网收录3541549条中英文词条,其功能与新华字典、现代汉语词典、牛津高阶英汉词典等各类中英文词典类似,基本涵盖了全部常用中英文字词句的读音、释义及用法,是语言学习和写作的有利工具。

 

Copyright © 2004-2024 vtrois.com All Rights Reserved
更新时间:2026/4/19 9:40:13