网站首页  词典首页


请输入您要查询的字词:

 

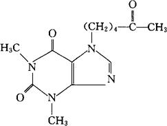
字词 洛米茶碱
类别 中英文字词句释义及详细解析
释义 洛米茶碱

C13H18N4O3=278.31

CAS-10226-54-7

7-(5-氧代己基)茶碱。

7-(5-Oxohexyl)theophylline.

3,7-二氢-1,3-二甲基-7-(5-氧己基)-1H-嘌呤-2,6-二酮。

3,7-Dihydro-1,3-dimethyl-7-(5-oxohexyl)-1Hpurine-2,6-dione.

末梢血管扩张药。

Lomifylline.

INN,USAN.

随便看

 

离鸟网收录3541549条中英文词条,其功能与新华字典、现代汉语词典、牛津高阶英汉词典等各类中英文词典类似,基本涵盖了全部常用中英文字词句的读音、释义及用法,是语言学习和写作的有利工具。

 

Copyright © 2004-2024 vtrois.com All Rights Reserved
更新时间:2026/4/17 19:34:14