网站首页  词典首页


请输入您要查询的字词:

 

字词 洛氏硬度
类别 中英文字词句释义及详细解析
释义 洛氏硬度

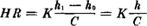
用金刚石圆锥体(锥角为102°、顶端球面半径为0.2mm)或一定直径的钢球作压头,在予负荷P。(10公斤力)和总负荷P先后作用下压入试样,以在总负荷作用后,卸除主负荷P1而保留予负荷时的压入深度h1与在予负荷作用下的压入深度h0之差h,来表示洛氏硬度。深度差大则硬度值低,反之则硬度值高。其计算公式为:

式中:HR为洛氏硬度值;K为常数,用钢球压头时为130,用金刚石压头时为100;h1为在已施加总负荷P,卸除主负荷P1但仍保留予负荷P0时,压头压入试样表面的深度;h0为在予负荷P0作用下,压头压入试样表面的深度;C为常数(规定为0.002毫米);h为h1与h0之差。

洛氏硬度规定以符号HR表示,并注以所用标尺A、B、C等字样,如HRA、HRE、HRC等。例如HRC50,即用C标尺测定的洛氏硬度值为50。

随便看

 

离鸟网收录3541549条中英文词条,其功能与新华字典、现代汉语词典、牛津高阶英汉词典等各类中英文词典类似,基本涵盖了全部常用中英文字词句的读音、释义及用法,是语言学习和写作的有利工具。

 

Copyright © 2004-2024 vtrois.com All Rights Reserved
更新时间:2026/4/19 5:58:28